0  369340  369348  369354  369358  369364  369366  369370  369376  369378  369384  369390  369394  369396  369400  369406  369408  369414  369418  369420  369424  369426  369430  369432  369434  369435  369436  369438  369439  369440  369442  369444  369448  369450  369454  369456  369460  369466  369468  369474  369478  369480  369484  369490  369496  369498  369504  369508  369510  369516  369520  369526  369534  447090 

7. Sarah hopes to become a friend of ______ shares her interests. 

A. anyone      B. whomever     C. whoever       D. no matter who

试题详情

6. The government tried its best to _____ the people’s needs, but the people were still not_________. In fact, what the government did was not___________. A. satisfy; satisfied; satisfying   B. satisfy; satisfying; satisfied C. satisfied; satisfied; satisfying   D. satisfying; satisfied; satisfied

试题详情

5. false   A all   B. bald    C. facial   D. central

试题详情

4. approach  A. church B .machine  C .moustache  D  stomach

试题详情

3. hunger  A. singer  B. outstanding  C. swing   D .finger

试题详情

2. creature  A. bread  B. great    C. sneaker  D. leather

试题详情

1. sunlight  A. truly  B. subjective  C .unique  D. jungle

试题详情

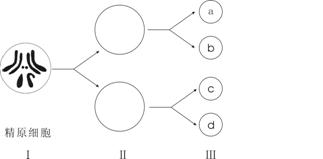
44.(12分)下图为果蝇细胞分裂图

(1)图Ⅱ的细胞叫_____________。

(2)若图Ⅲ中的a与一只红眼雌果蝇产生的卵细胞结合发育成一只白眼雄果蝇,则b的染色体类型为______________(X或Y)。

(3)(已知果蝇刚毛和截毛这对相对性状由X和Y染色体上一对等位基因控制的,刚毛(B)对截毛(b)为显性;控制果蝇的红眼和白眼性状的基因只存在于X染色体上,红眼(R)对白眼(r)为显性(如右图所示)。

A.若只考虑刚毛和截毛这对性状的遗传:

① 果蝇种群中雄果蝇的基因型除了有XBYB(如图所示)和XBYb  外,还有________ ________;

② 现将两只刚毛果蝇杂交,子代雌果蝇中既有刚毛,又有截毛,  雄果蝇全为刚毛,则这两只果蝇的基因型是_________  _______;

B.种群中有各种性状的雌果蝇,现有一只红眼刚毛雄果蝇(XR_Y_),要通过一次杂交实验判定它的基因型,应选择________雌果蝇与该只果蝇交配,然后观察子代的性状表现。(提示:果蝇的性别常常需要通过眼色来识别)

① 如果子代果蝇均有刚毛,则该雄果蝇基因型为XRBYB

② 如果子代________________________________________________________;

③ 如果子代________________________________________________________。

试题详情

43. (10分)基因突变、基因重组和染色体变异是生物产生可遗传变异的三个来源。右图是生产实践中的几种不同育种方法。请分析回答下面的问题。

(1)图中A、D所示方向的育种方式与A→B→C方向所示的育种方式相比较,后者的优越性主要表现在            。 

(2)过程B常用的方法为       ,植株的获得利用了细胞的_______;过程F经常采用的药剂为      , 其作用原理是    

(3)请分别写出这些育种方式所依据的遗传学原理:

①E:       ;②F:       ;

③GHIJ:       

(4)过程GHIJ所代表的育种方法需要使用的工具酶有           

试题详情

42. (8分)下图示某遗传系谱,两种致病基因位于非同源染色体上。根据条件分析回答。

(1)如果1号不带甲病基因,则:①甲病基因在_____染色体上;②乙病属于_______(显、隐)性遗传病;③4号是杂合子的概率为_______;④5号和一位乙病基因携带者的正常个体婚配,生出正常女儿的基因型和对应的概率分别是_______(2分)。

(2)如果1号携带甲病基因,则4号与1号基因型相同的概率是_______。

(3)经检查,1、2号均不带乙病基因,则5号致病基因来源于_______,5号相关的基因型最可能是_______。

试题详情


同步练习册答案