0  369873  369881  369887  369891  369897  369899  369903  369909  369911  369917  369923  369927  369929  369933  369939  369941  369947  369951  369953  369957  369959  369963  369965  369967  369968  369969  369971  369972  369973  369975  369977  369981  369983  369987  369989  369993  369999  370001  370007  370011  370013  370017  370023  370029  370031  370037  370041  370043  370049  370053  370059  370067  447090 

5.下列关于化学键的说法正确的是

A.化学键是分子与分子之间的作用力

B.形成物质中的化学键时,要吸收能量

C.化学键的断裂和形成是化学反应中能量变化的主要原因

D.形成或断裂同一种化学键,放出或吸收的能量是不相等的,这是化学反应中能量变化的主要原因

试题详情

4.下列物质含有非极性共价键的共价化合物是

A.H2O2      B.HCl       C.Na2O2       D.Cl2

试题详情

3.下图为周期表中短周期的一部分。已知a原子的最外层上的电子数目是次外层电子数目的一半,下列说法中不正确的是

A. 元素a的最高价氧化物的水化物的酸性比b弱               

B.元素a的原子半径比d的大

C.元素a的单质在空气中燃烧会导致“温室效应”

D.元素a单质是一种良好的半导体材料

试题详情

2.下列说法正确的是

A.SiH4比CH4稳定      

B.O2-半径比F-的小

C.Na和Cs属于第IA族元素,Cs失电子能力比Na强

D.P和As属于第VA族元素,H3PO4酸性比H3AsO4

 
d
 
a
b
c

试题详情

1.核电荷数分别为16和6的元素的原子相比较,前者的下列数据是后者的4倍的是

A.电子数     B.最外层电子数    C.电子层数     D.次外层电子数

试题详情

13.(20分)(2009·湖北模拟)已知函数f(x)=x|x+m|+n,其中mn∈R.

(Ⅰ)求证:m2+n2=0是f(x)是奇函数的充要条件;

(Ⅱ)若常数n=-4,且f(x)<0对任意x∈[0,1]恒成立,求m的取值范围.

证明:(Ⅰ)充分性:若m2+n2=0,则mn=0,

f(x)=x|x|,

又有f(-x)=-x|-x|=-x|x|=-f(x),∴f(x)为奇函数.

必要性:若f(x)为奇函数,∵x∈R,∴f(0)=0,即n=0,∴f(x)=x|x+m|.

f(1)=-f(-1),有|m+1|=|m-1|,∴m=0.

f(x)为奇函数,则mn=0,即m2+n2=0.

m2+n2=0是f(x)为奇函数的充要条件.

解:(Ⅱ)若x=0时,m∈R,f(x)<0恒成立;

x∈(0,1]时,原不等式可变形为|x+m|<-.

即-x+<m<-x-.

∴只需对x∈(0,1],满足  

对①式f1(x)=-x+在(0,1]上单调递减,

m<f1(1)=3.              ③

对②式,设f2(x)=-x-,根据单调函数的定义可证明f2(x)在(0,1]上单调递增,

f2(x)maxf(1),∴m>f2(1)=-5      ④

由③④知-5<m<3.

试题详情

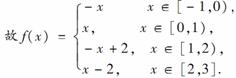
12.(15分)设f(x)是周期函数,且最小正周期为2,且f(1+x)=f(1-x),当-1≤x≤0时,f(x)=-x,试求函数f(x)在区间[-1,3]上的表达式.

解:∵f(-x)=f(2-x)=f[1+(1-x)]

f[1-(1-x)]=f(x),∴f(x)是偶函数.

于是由“当-1≤x≤0时,f(x)=-x”可知当0≤x≤1时,f(x)=x

进而当1≤x≤2时,-1≤x-2≤0⇒f(x)=f(x-2)=-(x-2)=-x+2;

当2≤x≤3时,0≤x-2≤1⇒f(x)=f(x-2)=x-2.

试题详情

11.(15分)已知函数yf(x)(x∈R且x≠0),对任意非零实数x1x2恒有f(x1·x2)=f(x1)+f(x2),试判断函数f(x)的奇偶性.

解:令x1=-1,x2x得:

f(-x)=f(-1)+f(x)             ①

再令x1=1,x2=-1得:

f(-1)=f(1)+f(-1),即f(1)=0        ②

再取x1x2=-1得:

f(1)=f(-1)+f(-1)             ③

由②、③得:f(-1)=0,

代入①得:f(-x)=f(x)

f(x)为偶函数.

试题详情

10.已知函数yf(x)是R上的偶函数,对于x∈R都有f(x+6)=f(x)+f(3)成立,且f(-4)=-2,当x1x2∈[0,3],且x1x2时,都有>0.则给出下列命题:

f(2008)=-2;

②函数yf(x)图像的一条对称轴为x=-6;

③函数yf(x)在[-9,-6]上为减函数;

④方程f(x)=0在[-9,9]上有4个根.

其中所有正确命题的序号为________.

解析:当x=-3时,f(-3+6)=f(-3)+f(3)=2f(3),∴f(3)=0,∴f(x+6)=f(x),即函数yf(x)是周期为6的偶函数,∴x=-6为其一条对称轴;又f(-4)=-2,∴f(2008)=f(334×6+4)=f(4)=f(-4)=-2;由题意函数yf(x)在区间[0,3]上单调递增,又函数yf(x)是周期为6的偶函数,∴yf(x)在[-9,-6]上单调递减;∵f(3)=f(9)=f(-3)=f(-9)=0,∴f(x)=0在区间[-9,9]上有4个根,综上应填①②③④.

答案:①②③④

试题详情

9.设周期为4的奇函数f(x)的定义域为R,且当x∈[4,6)时,f(x)=2-x2,则f(-1)的值为__________.

解析:∵f(-1)=-f(1)=-f(1+4)=-f(5)=-(2-52)=23.

答案:23

试题详情


同步练习册答案