0  371126  371134  371140  371144  371150  371152  371156  371162  371164  371170  371176  371180  371182  371186  371192  371194  371200  371204  371206  371210  371212  371216  371218  371220  371221  371222  371224  371225  371226  371228  371230  371234  371236  371240  371242  371246  371252  371254  371260  371264  371266  371270  371276  371282  371284  371290  371294  371296  371302  371306  371312  371320  447090 

16、A是一种对位二取代苯,相对分子质量180,有酸性。A水解生成B和C两种酸性化合物。B相对分子质量为60,C能与NaHCO3反应放出气体,并使FeCl3显色。试写出A、B、C的结构简式。

A:___________  B:___________  C:____________

试题详情

15、已知维生素A的结构简式为式中以线示键,线的交点与端点处代表碳原子,并用氢原子补足四价,但C、H原子未标记出来。关于它的叙述正确的是(   )

  

   A.维生素A的化学式为C20H30O

   B.维生素A是一种易溶于水的醇

   C.维生素A分子中有异戊二烯的碳链结构

D.1mol维生素A在催化剂作用下最多与7 mol H2发生加成反应

试题详情

14、下列各有机化合物中,既能被酸性高锰酸钾溶液氧化,又能跟溴水发生取代反应的是(   )

A.苯乙烯     B.苯酚水溶液     C.苯甲醛      D.甲醛水溶液

试题详情

13、某有机物结构简式为,1 mol该有机物在合适的条件与NaOH反应,最多可消耗NaOH物质的量(   )

A.5 mol     B.4 mol        C.3 mol       D.2 mol

试题详情

12、某有机物的分子式为C8H8,经研究表明该有机物不能发生加成反应和加聚反应,在常温下难于被酸性KMnO4溶液氧化,但在一定条件下却可与Cl2发生取代反应,而且其一氯代物只有一种。下列对该有机物结构的推断中一定正确的是   (   )

A.该有机物中含有碳碳双键     B.该有机物属于芳香烃

C.该有机物分子具有平面环状结构  D.该有机物具有三维空间的立体结构

试题详情

11、下列各组混合物不能用分液漏斗分离的是   (   )

A.硝基苯和水 B.甘油和水  C.溴苯和NaOH溶液   D.氯乙烷和水

试题详情

10、杀虫剂DDT分子结构是:。下列关于DDT的说法中,不正确的是   (   )

A.大量使用DDT会使鸟的数量减少    B.DDT属于芳香烃

C.DDT的分子式是      D.DDT的性质稳定且难以降解

试题详情

9.某有机物的结构简式为与足量的Na、NaOH、新制Cu(OH)2反应,则需三种物质的物质的量之比为(   )

A.6∶4∶5     B.1∶1∶1     C.3∶2∶2      D.3∶2∶3

试题详情

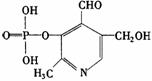
8.磷酸毗醛素是细胞的重要组成部分,可视为由磷酸形成的酯,其结构式如下,下列有关叙述不正确的是(   )

A.能与金属钠反应     B.能使石蕊试液变红

C.能发生银镜反应     D.1mol该酯与NaOH溶液反应,消耗3mol NaOH

试题详情


同步练习册答案