0  372728  372736  372742  372746  372752  372754  372758  372764  372766  372772  372778  372782  372784  372788  372794  372796  372802  372806  372808  372812  372814  372818  372820  372822  372823  372824  372826  372827  372828  372830  372832  372836  372838  372842  372844  372848  372854  372856  372862  372866  372868  372872  372878  372884  372886  372892  372896  372898  372904  372908  372914  372922  447090 

30.(13分)报春花的花色表现为白色(只含白色素)和黄色(含黄色锦葵色素)一对相对性状,由两对等位基因(A和a,B和b)共同控制,显性基因A控制以白色素为前体物合成黄色锦葵色素的代谢过程,但当显性基因B存在时可抑制其表达(生化机制如下图所示)。据此回答:

 

  (1)开黄花的报春花植株的基因型可能是____________

  (2)现有AABB、aaBB和aabb三个纯种白色报春花品种,为了培育出能稳定遗传的黄色品种,某同学设计了如下程序:

    Ⅰ.选择________和________两个品种进行杂交,得到F1种子;

    Ⅱ.F1种子种下得Fl植株,F1随机交配得F2种子;

    Ⅲ.F2种子种下得F2植株,F2自交,然后选择开黄色花植株的种子混合留种;

    Ⅳ.重复步骤Ⅲ若干代,直到后代不出现性状分离为止。

  (3)根据上述程序,回答相关问题:

①F1植株能产生比例相等的四种配子,原因是____________________

②报春花的雌蕊和雄蕊不等长,自然状态下可以进行异花传粉。为了让F2自交,应该怎样处理?_____________________________

③F2植株中开黄花的占_________________,在这些开黄花的植株上所结的种子中黄色纯合子占____________________________

④请你在原方案的基础上补充设计一个新的方案,以缩短培育年限_________

试题详情

29.(18分)回答下列有关遗传问题:

    I.葫芦科中一种称为喷瓜的植物,其果皮深色(B)对浅色(b)是显性,而其性别是由3个复等位基因决定的,为显性',为显性。它们的性别表现与基因型如右表所示:

  (1)由上表可知,决定雄性、两性、雌性植株的基因依次是:________。

  (2)请解释雄性植株中不存在纯合体的原因? ________。

  (3)若将雌雄同株的四倍体浅色喷瓜和雌雄同株的纯合二倍体深色喷瓜间行种植,收获四倍体植株上所结的种子,若从细胞染色体组的角度预测这些种子播种后发育成的 植株会有________种类型。能否从果皮颜色直接判断出这些植株的类型? ________ (请用遗传图解解释,并作简要说明。决定雌雄的基因不需要写出)

    Ⅱ.在一群体型一直较正常的牛群中出现了一头矮生雄牛,某研究小组在讨论该矮生雄牛形成原因时,有三种不同的观点。

    观点一:种群中某一个体产生了隐性突变,该突变基因随着个体间的交配,在群体中得以扩散,矮生基因携带者交配后发生性状分离产生该矮生雄牛。

    观点二:由于非遗传因素(如饲养条件)的因素引起的。

    观点三:________。

    请你设计一个杂交试验,根据子一代杂交结果得出相应的结论。(说明:若是遗传因素,则这一相对性状由常染色体上的一对等位基因控制)

  (1)杂交试验方案________,在正常的饲养条件下,观察子代的表现。

  (2)杂交结果及结论:

       ①若子代出现________情况,则观点一正确。

       ②若子代出现________情况,则观点二正确。

       ③若子代出现________情况,则观点三正确。

试题详情

28.(22分)“假说-演绎法”是在观察和分析的基础上提出问题,通过推理和想像提出解释问题的假说,根据假说进行演绎推理,再通过实验检验演绎推理结论的科学方法。

  (1)孟德尔以黄色圆粒纯种豌豆和绿色皱粒纯种豌豆做亲本,分别设计了纯合亲本杂交、F1自交、F1测交的实验,按照“假说-演绎”法(即分析现象-提出假说-检验假说-得出结论),最后得出了自由组合定律。孟德尔在两对相对性状的遗传实验中:

        ①用于解释实验现象的“假说”是_________。受精时,雌雄配子的结合是随机的。雌雄配子的结合方式有16种;遗传因子组合类型有9种;F2代的性状表现为4种:黄色圆粒、黄色皱粒、绿色圆粒、绿色皱粒,数量比为9∶3∶3∶l。

       ②根据假说的“演绎”过程是:若上述假说成立,则_____________

③在检验假说阶段进行的实验是__________

  (2)果蝇体表硬而长的毛称为刚毛,一个自然繁殖

的直刚毛果蝇种群中,偶然出现了一只卷刚毛

雄果蝇。已知直刚毛和卷刚毛是受等位基因A

和a控制的。请回答下列问题:

①这只雄果蝇的卷刚毛性状是如何产生和遗传

的呢?有一种假说认为这是亲代生殖细胞中X

染色体上的基因发生了显性突变。请你尝试再

写出两种假说:___________________

②已知这只卷刚毛雄果蝇与直刚毛雌果蝇杂交,

F1全部是直刚毛,F1雌雄果蝇随机交配,F2的表现型及比例是直刚毛雌果蝇∶直刚毛雄果蝇∶卷刚毛雄果蝇=2∶1∶1,此时最合理的假说是______

       ③为验证②中的假说,某同学设计了如右图所示的杂交试验。该实验及现象是否能够验证第②小题中提出的假说?请说明理由。

       ④若为你提供以下一些纯合的果蝇作为材料:直刚毛雌果蝇、直刚毛雄果蝇、卷刚毛雌果蝇、卷刚毛雄果蝇,请你也来设计一个杂交试验,以验证第②小题中提出的假说,并预测实验结果:___________________

       实验方案:_________。(只要求写出杂交亲本的表现型)。

       预测结果:____________

试题详情

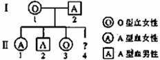
27.人的血型是由红细胞表面抗原决定的。左表为A型和O型血的红细胞表面抗原及其决定基因,右图为某家庭的血型遗传图谱。

血型
A
红细胞裂面A抗原

抗原决定基因
(显性)
O

(隐性)

    据图表回答问题:

  (1)控制人血型的基因位于________(常/性)染色体上,判断依据是_____________

  (2)母婴血型不合易引起新生儿溶血症。原因是在母亲妊娠期间,胎儿红细胞可通过胎盘进入母体;剌激母体产生新的血型抗体。该抗体又通过胎盘进入胎儿体内,与红细胞发生抗原抗体反应,可引起红细胞破裂。因个体差异,母体产生的血型抗体量及进入胎儿体内的量不同,当胎儿体内的抗体达到一定量时,导致较多红细胞破裂,表现为新生儿溶血症。

       ①II-1出现新生儿溶血症,引起该病的抗原是____________________。母婴血型不合___________________(一定/不一定)发生新生儿溶血症。

       ②II-2的溶血症状较II-1严重。原因是第一胎后,母体已产生___________,当相同抗原再次剌激时,母体快速产生大量血型抗体,引起II-2溶血加重。

③新生儿胃肠功能不健全,可直接吸收母乳蛋白。当溶血症新生儿哺母乳后,病情加重,其可能的原因是______________________________

  (3)若II-4出现新生儿溶血症,其基因型最有可能是_________________

试题详情

26.假定等位基因A和a,B和b是独立分配的,且A对a,B对b为显性,则基因型AABb亲本自交后代中,出现亲本没有的新性状占                      (   )

    A.0         B.3/8          C.1/12        D.1/4

试题详情

25.已知玉米的种皮黄色对白色玉米粒是显性,胚乳紫色对白色是显性。现有种皮黄色胚乳紫色和白色种皮胚乳紫色的玉米种植后,进行杂交。所结玉米粒共有102粒,其中种皮黄色胚乳白色49粒, 下列说法正确的是                       (   )

    A.亲本黄色种皮胚乳紫色玉米粒是杂合子,亲本白色种皮胚乳紫色玉米粒是杂合子。

    B.亲本黄色种皮胚乳紫色玉米粒是杂合子,亲本白色种皮胚乳紫色玉米粒是纯合子。

    C.亲本黄色种皮胚乳紫色玉米粒是纯合子,亲本白色种皮胚乳紫色玉米粒是杂合子。

    D.亲本黄色种皮胚乳紫色玉米粒是纯合子,亲本白色种皮胚乳紫色玉米粒是纯合子。

试题详情

24.把两粒黄色圆粒豌豆,分别种植。第一粒种植成熟后结了15粒豌豆,其中2粒是绿色皱粒豌豆。另一粒豌豆种植成熟后共结了20粒豌豆,其中有5粒豌豆是黄色皱粒豌豆。下列说法正确的是              (   )

    A.第一粒豌豆结的豌豆中,没有黄色圆粒豌豆出现。

    B.第一粒豌豆节的豌豆中,黄色皱粒豌豆可能有3粒左右。

    C.第二粒豌豆结的豌豆中,其余十五粒豌豆都是黄色圆粒豌豆。

    D.第二粒豌豆节的豌豆中,一定不会出现绿色皱粒豌豆。

试题详情

23.科学工作者在玉米的育种过程中发现了一粒粉红色玉米粒,把该玉米粒种植后进行自花授粉,结出了两种玉米粒,黄色的玉米粒25粒。粉红色的玉米粒可能是多少呢?(   )

    A.25粒        B.35粒        C.100粒       D.8 0粒

试题详情

22.一对正常的夫妇生了一个白化病的儿子和一个色盲的儿子,下列说法不正确的是(   )

    A.该夫妇在白化病遗传上,都是杂合子,基因型都是Aa。

    B.该夫妇的女性个体是携带者。

    C.该对夫妇如果再生一个孩子,换两种病的概率是1/8。

    D.该对夫妇生一个女孩患白化病的概率是1/4。

试题详情

21.一对黑色绵阳交配,繁殖后代,共有后代18只,其中白色羊9只,下列说法正确的是

                                                                (   )

    A.该对黑色绵羊,一个亲本是杂合子,另一个是隐性纯合子。

    B.该对黑色绵羊再生一个白色绵羊的概率是1/2.

    C.该对绵羊的后代正好符合1:1,符合孟德尔的分离定律。

    D.该对黑色绵羊亲本都是显性杂合子,白色绵羊是隐性纯合子。

试题详情


同步练习册答案