0  374279  374287  374293  374297  374303  374305  374309  374315  374317  374323  374329  374333  374335  374339  374345  374347  374353  374357  374359  374363  374365  374369  374371  374373  374374  374375  374377  374378  374379  374381  374383  374387  374389  374393  374395  374399  374405  374407  374413  374417  374419  374423  374429  374435  374437  374443  374447  374449  374455  374459  374465  374473  447090 

3、下列说法正确的是(  )

A.饱和溶液降温一定有晶体析出

B.碱性溶液一定是碱溶液

C.只含有一种元素的物质一定是纯净物

D.置换反应一定有单质生成

试题详情

2、小林同学对所学知识归纳如下,其中有错误的一组是

A.化学与能源
B.安全知识
煤、石油、天然气--不可再生的化石燃料
风能、水能、太阳能--未充分利用的绿色能源
居室装修--常开窗通风,使有害物挥发
煤气泄漏--关闭气阀、严禁烟火
 
C.元素与人体健康
D.环保与物质利用
缺钙--易得甲状腺肿大
缺氟--易生龋齿
减少水污染--合理使用农药、化肥
减少白色污染--使用可降解的塑料

试题详情

1、生活处处有化学,在实际生活中,下列物质的用途与其化学性质无关的是(  )

A.用盐酸除去热水瓶中的水垢      B.用木炭烤肉串

C.用熟石灰改良酸性土壤        D.用干冰进行人工降雨

试题详情

28.(5分)鸡蛋壳的主要成分是碳酸钙,为了测定鸡蛋壳中碳酸钙的含量,小丽称取

30g干燥的碎鸡蛋壳放入烧杯中,并向其中加入了80g稀盐酸恰好完全反应(假设鸡蛋壳中除碳酸钙外的其他成分都不溶于水,且不与稀盐酸反应),反应后烧杯中物质的总质量为101.2g。我能完成下列计算:

⑴碳酸钙的质量;

⑵当碳酸钙恰好完全反应时所得溶液中溶质的质量分数。(结果保留一位小数)

2010年湖北省宜昌市初中毕业生学业考试

试题详情

27.(2分)甲醛是室内装修的隐形杀手,甲醛的化学式为CH2O。

⑴甲醛中碳、氢、氧的质量比为    ; ⑵甲醛中碳元素的质量分数为     

试题详情

26.(13分)在高效复习课堂中,同学们利用“硫酸、硝酸钡、氢氧化钠、碳酸钾” 四种物质的溶液对 “复分解反应发生的条件”进行再探究。

[知识回放]

通过判断上述四种溶液两两之间能否发生反应,我能写出其中符合下列条件的两个化学方程式:

⑴一个中和反应   

⑵一个有沉淀生成的反应   

[挖掘实质]

⑴图26-1是HCl和NaOH在水中解离出离子的示意图,小丽发现HCl在水中会解离出H+和Cl,NaOH在水中会解离出Na+和OH,以此类推硝酸钡在水中会解离出的离子是    (填离子符号)。

⑵图26-2是稀盐酸和氢氧化钠溶液发生化学反应的微观过程示意图,该化学反应的实质可以表示为

H+ + OH = H2O

我也能用同样的方式表示上述四种溶液两两之间发生反应时有气体生成的反应的实质   

[实践运用]

⑴通过上述探究发现,在溶液中H+和OH不能大量共存,我还发现在溶液中

        (填离子符号,下同)也不能大量共存。

⑵利用上述四种物质的溶液完成实验后,将所得物质混合并过滤,得到一种无色溶液。经测定,该溶液显酸性。则在该溶液中一定含有的离子是          。为了验证该溶液中可能含有的离子是否存在,我设计如下实验进行验证。

溶液中可能含有的离子
设计实验验证(实验步骤、现象及对应的结论)
 
 

[知识升华]

对“复分解反应发生的条件”的再探究,我发现在分析多种溶液混合后所得溶液中离子的成分时,应考虑的因素是      

试题详情

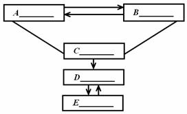
25.(8分)右图是物质化学性质的知识网络图,“-”表示相连的两种物质能发生反应,“→”表示一种物质转化成另一种物质。

⑴我能用单质、氧化物、酸、碱、盐五种不同类别物质的化学式填空,完善这个知识网络。

⑵我能写出由C→D反应的化学方程式   

试题详情

24.(15分)通过一年的化学学习,我们知道了常见气体的实验室制取方法和相关性质,我能根据所学知识回答下列问题:

⑴图24-1是实验室常用的制取气体的装置:

图24-1
 

实验室用高锰酸钾制取氧气的化学方程式是    ,所选用的发生装置是      (填序号),用C装置收集氧气后,验满的方法是   

⑵小丽欲使用图24-2装置收集较纯净的氧气,则应先将装置中装满

,再将气体从    (填“a”或“b”)端通入。

⑶小丽用排新制的澄清石灰水的方法收集了半瓶氧气,然后将燃着的

木炭伸入该集气瓶中继续做气体性质实验,我能观察到的现象是   

我能写出二氧化碳和澄清石灰水发生反应的化学方程式  

⑷炼铁的原理是利用一氧化碳与氧

化铁反应。在实验室里,可用图24-3

所示装置进行实验:实验中玻璃管内

的粉末由红色变为    色,该反

应的化学方程式为    ,通过实

验我可以得出的一氧化碳的相关化

学性质是   

试题详情

23.(2分)根据下列实验图示分析问题:

      

硫的燃烧        镁带的燃烧           铁丝的燃烧

⑴上述三个反应都是物质与氧发生的反应,它们都属于氧化反应。氧气在氧化反应中提供氧,它具有氧化性。我能从化学反应前后氧元素化合价变化分析,氧气在上述反应中具有氧化性的原因是      

⑵通过类比、分析反应2Na+Cl22NaCl发现,该反应中具有氧化性的物质是

    (填化学式)。

试题详情

22.(4分)金属活动性顺序在运用中给我们三条判断依据,即在金属活动性顺序里:

⑴金属的位置越靠前它的活动性就越强;

⑵位于氢前面的金属能置换出盐酸、稀硫酸中的氢;

⑶位于前面的金属能把位于后面的金属从它们化合物的溶液里置换出来。

通过查阅资料我发现金属铝与氧化铜在高温条件下能发生置换反应,其化学方程式为      ,由此我发现了一条新的判断依据      

试题详情


同步练习册答案