0  376002  376010  376016  376020  376026  376028  376032  376038  376040  376046  376052  376056  376058  376062  376068  376070  376076  376080  376082  376086  376088  376092  376094  376096  376097  376098  376100  376101  376102  376104  376106  376110  376112  376116  376118  376122  376128  376130  376136  376140  376142  376146  376152  376158  376160  376166  376170  376172  376178  376182  376188  376196  447090 

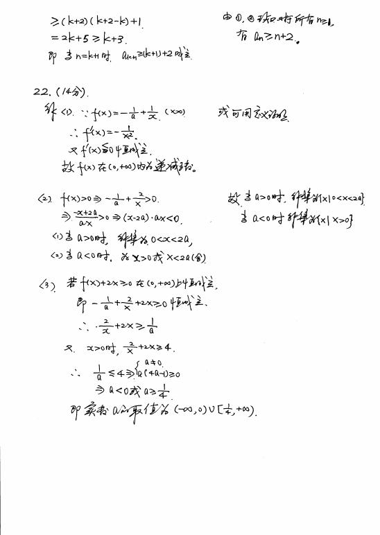
22、(14分)已知,()

(1) 判断上的增减性,并证明你的结论。

(2) 解关于的不等式

(3) 若上恒成立,求实数a的取值范围

试题详情

21、(14分)设数列满足,2,3…

(1)、当时,求,并由此猜想出的一个通项公式。

(2)、当时,证明对所有的,有

试题详情

20、(12分) 已知

(1)求的单调区间。

(2)若上的最大值为20,求它在该区间上的最小值。

试题详情

19、(10分)某游泳馆出售学生游泳卡,每张240元,使用规定:不记名,每卡每次只限1人,每天只限1次,某班有48名学生,老师打算组织同学们去游泳,除需购买若干张游泳卡外,每次还要包一辆汽车,无论乘坐多少人,每次的包车费均为40元,若使每个同学游8次,每人最少交多少钱?

试题详情

18、(10分)已知,求证:

试题详情

17、(10分)求曲线在点处的切线方程。

试题详情

16、已知函数,则          

试题详情

15、的解集为      

试题详情

14、已知,则复数         

试题详情

13、=      

试题详情


同步练习册答案