0  395388  395396  395402  395406  395412  395414  395418  395424  395426  395432  395438  395442  395444  395448  395454  395456  395462  395466  395468  395472  395474  395478  395480  395482  395483  395484  395486  395487  395488  395490  395492  395496  395498  395502  395504  395508  395514  395516  395522  395526  395528  395532  395538  395544  395546  395552  395556  395558  395564  395568  395574  395582  447090 

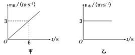
4.(2010·厦门模拟)一快艇要从岸边某处到达河中离岸100 m远的浮标处,已知快艇在静水中的速度图象如图3甲所示,流水的速度图象如图乙所示,假设行驶中快艇在静水中航行的分速度方向选定后就不再改变,则               ( )

图3

A.快艇的运动轨迹可能是直线

B.快艇的运动轨迹只可能是曲线

C.最快达到浮标处通过的位移为100 m

D.最快达到浮标处所用时间为20 s

解析:快艇的实际速度为快艇在静水中的速度与水速的合速度.由图知快艇在静水中的速度为匀加速直线运动,水速为匀速,又不能在一条直线上,故快艇必做曲线运动,B正确,A错;当快艇与河岸垂直时,到达浮标处时间最短,而此时快艇做曲线运动,故位移大于100 m,C项错误;最快的时间由100=at2,其中a=0.5 m/s2,可以求出最短时间为20 s,D项正确.

答案:BD

试题详情

3.如图2所示,AB为两个挨得很近的小球,并列放于光滑斜面  上, 

斜面足够长,在释放B球的同时,将A球以某一速度v0水平抛出,

A球落于斜面上的P点时,B球的位置位于      ( )

A.P点以下          B.P点以上             图2

C.P点            D.由于v0未知,故无法确定

解析:设A球落到P点的时间为tAAP的竖直位移为yB球滑到P点的时间为tBBP的竖直位移也为y,则:tA= ,tB= =  >tA(θ为斜面倾角).故B项正确.

答案:B

试题详情

2.一小船在河中xOy平面内运动的轨迹如图1所示,下列判断正 

确的是                                      ( )

A.若小船在x方向上始终匀速,则在y方向上先加速后减速

B.若小船在x方向上始终匀速,则在y方向上先减速后加速

C.若小船在y方向上始终匀速,则在x方向上先减速后加速     图1

D.若小船在y方向上始终匀速,则在x方向上先加速后减速

解析:小船运动轨迹上各点的切线方向为小船的合速度方向,若小船在x方向上始终匀速,由合速度方向的变化可知,小船在y方向上的速度先减小再增加,故A错误,B正确;若小船在y方向上始终匀速,由合速度方向的变化可知,小船在x方向上的速度先增加后减小,故C错误,D正确.

答案:BD

试题详情

1.(2010·福州模拟)对质点运动来讲,以下说法中正确的是           ( )

A.加速度恒定的运动可能是曲线运动

B.运动轨迹对任何观察者来说都是不变的

C.当质点的加速度逐渐减小时,其速度不一定逐渐减小

D.作用在质点上的所有力消失后,质点运动的速度将不断减小

解析:加速度恒定的运动可能是曲线运动,如平抛运动,A正确;运动轨迹对不同的观察者来说可能不同,如匀速水平飞行的飞机上落下的物体,相对地面做平抛运动,相对飞机上的观察者做自由落体运动,B错误;当质点的速度方向与加速度方向同向时,即使加速度减小,速度仍增加,C正确;作用于质点上的所有力消失后,质点的速度将不变,D错误.

答案:AC

试题详情

28.在长为10cm,宽为8cm的矩形的四个角上截去四个全等的小正方形,使得留下的图形(图中阴影部分)面积是原矩形面积的80%,求所截去小正方形的边长。

试题详情

27.小华在解一元二次方程x2-4x=0时.只得出一个根是x=4,则被他漏掉的一个根是x=_____.

试题详情

26.关于的一元二次方程的一个根为1,则方程的另一根为      .

试题详情

25.已知abc分别是三角形的三边,则方程(a + b)x2 + 2cx + (a + b)=0的根的情况是( )

A.没有实数根                B.可能有且只有一个实数根

C.有两个相等的实数根            D.有两个不相等的实数根

试题详情

24.关于x的一元二次方程的根的情况是(  )

   A.有两个不相等的实数根   B.有两个相等的实数根 

 C.没有实数根        D.无法确定 

试题详情


同步练习册答案