0  414153  414161  414167  414171  414177  414179  414183  414189  414191  414197  414203  414207  414209  414213  414219  414221  414227  414231  414233  414237  414239  414243  414245  414247  414248  414249  414251  414252  414253  414255  414257  414261  414263  414267  414269  414273  414279  414281  414287  414291  414293  414297  414303  414309  414311  414317  414321  414323  414329  414333  414339  414347  447090 

9.为了检验某种作业本的印刷质量,决定从一捆(40本)中抽取10本进行检查,利用随机数表抽取这个样本时,应按怎样的步骤进行?

分析  可先对这40本作业本进行统一编号,然后在随机数表中任选一数作为起始号码,按任意方向读下去,便会得到10个号码.

解  可按以下步骤进行:

第一步,先将40本作业本编号,可编为00,01,02,…,39.

第二步,在附录1随机数表中任选一个数作为开始.如从第8行第4列的数78开始.

第三步,从选定的数78开始向右读下去,得到一个两位数字号码59,由于59>39,将它去掉;继续向右读,得到16,由于16<39,将它取出;继续读下去,可得到19,10,12,07,39,38,33,21,后面一个是12,由于在前面12已经取出,将它去掉;再继续读,得到34.至此,10个样本号码已经取满,于是,所要抽取的样本号码是16,19,10,12,07,39,38,33,21,34.

试题详情

8.将参加数学竞赛的1 000名学生编号如下0001,0002,0003,…,1000,打算从中抽取一个容量为50的样本,按系统抽样的方法分成50个部分,如果第一部分编号为0001,0002,…,0020,从第一部分随机抽取一个号码为0015,则第40个号码为      .

答案  0795

试题详情

7.(2008·天津文,11)一个单位共有职工200人,其中不超过45岁的有120人,超过45岁的有80人.为了调查职工的健康状况,用分层抽样的方法从全体职工中抽取一个容量为25的样本,应抽取超过45岁的职工       人.

答案  10

试题详情

6.某商场有四类食品,其中粮食类、植物油类、动物性食品类及果蔬类分别有40种、10种、30种、20种,现从中抽取一个容量为20的样本进行食品安全检测,若采用分层抽样的方法抽取样本,则抽取的植物油类与果蔬类食品种数之和是     .

答案  6

试题详情

5.某中学有高一学生400人,高二学生300人,高三学生200人,学校团委欲用分层抽样的方法抽取18名学生进行问卷调查,则下列判断不正确的是      (填序号).

①高一学生被抽到的概率最大

②高三学生被抽到的概率最大

③高三学生被抽到的概率最小

④每名学生被抽到的概率相等

答案  ①②③

试题详情

4.(2008·重庆文)某校高三年级有男生500人,女生400人,为了解该年级学生的健康情况,从男生中任意抽取25人,从女生中任意抽取20人进行调查,这种抽样方法是        .

答案  分层抽样法

试题详情

3.下列抽样实验中,最适宜用系统抽样的是       (填序号).

①某市的4个区共有2 000名学生,且4个区的学生人数之比为3∶2∶8∶2,从中抽取200人入样

②某厂生产的2 000个电子元件中随机抽取5个入样

③从某厂生产的2 000个电子元件中随机抽取200个入样

④从某厂生产的20个电子元件中随机抽取5个入样

答案  ③

试题详情

2.某牛奶生产线上每隔30分钟抽取一袋进行检验,则该抽样方法为①;从某中学的30名数学爱好者中抽取3人了解学习负担情况,则该抽样方法为②.那么①,②分别为      .

答案  系统抽样,简单随机抽样

试题详情

1.(2008·安庆模拟)某校高中生共有900人,其中高一年级300人,高二年级200人,高三年级400人,现分层抽取容量为45的样本,那么高一、高二、高三年级抽取的人数分别为      .

答案  15,10,20

试题详情

17(10分).已知集合,若,求实数的取值范围.

18(12分).设函数   若的反函数为,求的值.

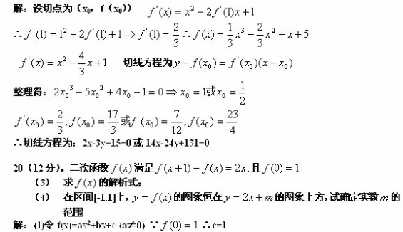
19(12分).若函数,求过点且与图像相切的直线方程.

20(12分)。二次函数满足

(1) 求的解析式;

(2) 在区间[-1,1]上,的图象恒在的图象上方,试确定实数的范围.

21(12分). 已知函数在x=1处取得极大值2

  (1)求f(x)的表达式;

  (2)m满足什么条件时,函数f(x)在区间(m,2m+1)上单调递增?.

22(12分)若函数y=f(x)是周期为2的偶函数,当时,f(x)=x-1,在

y=f(x)的图像上有两点A、B,它们的纵坐标相等,横坐标都在区间[1,3]上,

定点C的坐标为(0,a)(其中2<a<3),求ABC面积的最大值.

19(12分).若函数,求过点且与图像相切的直线方程.

ABC面积的最大值为

试题详情


同步练习册答案