0  419264  419272  419278  419282  419288  419290  419294  419300  419302  419308  419314  419318  419320  419324  419330  419332  419338  419342  419344  419348  419350  419354  419356  419358  419359  419360  419362  419363  419364  419366  419368  419372  419374  419378  419380  419384  419390  419392  419398  419402  419404  419408  419414  419420  419422  419428  419432  419434  419440  419444  419450  419458  447090 

8.(2009届广东省新洲中学高三摸底考试试卷)下列说法正确的是         (  )

A.α射线与γ射线都是电磁波

B.原子核发生α衰变后,新核的质量数比原核的质量数减少4

C.原子核内某个中子转化为质子和电子,产生的电子从核内发射出来,就是β衰变

D.放射性元素的原子核数量越多,半衰期就越长

答案:BC

试题详情

7.(北京市东城区)下列说法正确的是                      (  )

A.质点做自由落体运动,每秒内重力所做的功都相同

B.质点做平抛运动,每秒内动量的增量都相同

C.质点做匀速圆周运动,每秒内合外力的冲量都相同

D.质点做简谐运动,每四分之一周期内回复力做的功都相同

答案:B

试题详情

6.(上海市南汇区)当气体温度升高时,下面说法中正确的是            (  )

A.气体分子的平均动能会增大

B.所有气体分子的动能都相同

C.每个气体分子的动能都会增大

D.每个气体分子的速率都会增大

答案:A

试题详情

5.(北京市东城区)如图为一列在均匀介质中沿x轴正方向传播的简谐横波在某时刻的波形图,波速为2m/s,则     (  )

A.质点P此时刻的振动方向沿y轴负方向

B.P点振幅比Q点振幅小

C.经过△t=4s,质点P将向右移动8m

D.经过△t=4s,质点Q通过的路程是0.4m

答案:AD

试题详情

4. (广东省中山一中2008-2009学年第一学期高三第一次统测)为了观察到纳米级的微小结构,需要用到分辨率比光学显微镜更高的电子显微镜.有关电子显微镜的下列说法中正确的是            (  )

A.它是了利用电子物质波的波长比可见光短,因此不容易发生明显衍射

B.它是了利用电子物质波的波长比可见光长,因此不容易发生明显衍射

C.它是了利用电子物质波的波长比可见光短,因此更容易发生明显衍射

D.它是了利用电子物质波的波长比可见光长,因此更容易发生明显衍射

答案:A

试题详情

3.(上海市南汇区)下列说法中正确的是                     (  )

A.摩擦生热的过程是不可逆过程

B.气体自由膨胀的过程是不可逆过程

C.由于总能量守恒,所以不会发生能源危机

D.空调既能制热又能制冷,说明热传递不存在方向性

答案:AB

试题详情

2.(北京市崇文区)一个单摆做受迫振动,其共振曲线(振幅A与驱动力的频率f的关系)如图所示,则   (  )

A.此单摆的固有周期约为0.5s             

B.此单摆的摆长约为1m

C.若摆长增大,单摆的固有频率增大

D.若摆长增大,共振曲线的峰将向右移动

答案:B

试题详情

1.(上海市徐汇区)下列关于分子运动和热现象的说法中正确的是          (  )

A.气体如果失去了容器的约束就会散开,这是因为气体分子之间存在势能的缘故

B.一定量100℃的水变成100℃的水蒸汽,其分子之间的势能不变

C.对于一定量的气体,如果压强不变,体积增大,那么它的内能一定增大

D.如果气体温度升高,那么所有分子的速率都增大

答案:C

试题详情

54.(07年海南卷)(1)有以下说法

A. 气体的温度越高,分子的平均动能越大

B. 即使气体的温度很高,仍有一些分子的运动速度是非常小的

C. 对物体做功不可能使物体的温度升高

D. 如果气体分子间的相互作用力小到可以忽略不计,则气体的内能只与温度有关

E. 一由不导热的器壁做成的容器,被不导热的隔板分成甲、乙两室。甲室中装有一定质量的温度为T的气体,乙室为真空,如图所示。提起隔板,让甲室中的气体进入乙室,若甲室中气体的内能只与温度有关,则提起隔板后当气体重新达到平衡时,其温度仍为T

F. 空调机作为制冷机使用时,将热量从温度较低的室内送到温度较高的室外,所以制冷机的工作是不遵守热力学第二定律的。

G. 对于一定量的气体,当其温度降低时,速度大的分子数目减少,速率小的分子数目增加

H. 从单一热源吸取热量使之全部变成有用的机械功是不可能的

其中正确的是        

(2)如图,在大气中有一水平放置的固定圆筒,它由abc三个粗细不同的部分连接而成的,各部分的横截面积分别为。已知大气压强为po,温度为To。两活塞A和B用一根长为4l的不可伸长的轻线相连,把温度为To的空气密封在两活塞之间,此时两活塞的位置如图所示。现对被密封的气体加热,使其温度缓慢上长升到T。若活塞与圆筒壁之间的摩擦可忽略,此时两活塞之间气体的压强可能为多少?

解析:设加热前,被密封气体的压强为p1,轻线的张力为f。因而活塞处在静止状态,对A活塞有

      ①

对B活塞有

        ② 

由①②式得

  p1­=p0                 ③

     f=0                  ④ 

即被密封气体的压强与大气压强相等,细线处在拉直的松驰状态。这时气体的体积

      ⑤

对气体加热时,被密封气体温度缓慢升高,两活塞一起向左缓慢移动。气体体积增大,压强保持p1­不变,若持续加热,此过程会一直持续到活塞向左移动的距离等于l为此,这时气体体积

        ⑥

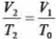
设此时气体的温度为T2,由盖-吕萨克定律

          ⑦

由③⑥⑦式得

          ⑧

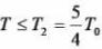
由此可知,当时,气体的压强

  p2­=p0                             ⑨

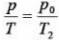
 当TT2时,活塞已无法移动,被密封气体的体积保持V2不变,气体经历一等容升压过程。当气体的温度为T时,设其压强为p,由查理定律,即有

           ⑩

由⑧⑨⑩式得

           

即当TT时,气体的压强为

2009年联考题

试题详情

53.(07宁夏理综 )如图所示,两个可导热的气缸竖直放置,它们的底部都由一细管连通(忽略细管的容积)。两气缸各有一个活塞,质量分别为m1m2,活塞与气缸无摩擦。活塞的下方为理想气体,上方为真空。当气体处于平衡状态时,两活塞位于同一高度h。(已知m1=3mm2=2m)

  ⑴在两活塞上同时各放一质量为m的物块,求气体再次达到平衡后两活塞的高度差(假定环境温度始终保持为T0)。

  ⑵在达到上一问的终态后,环境温度由T0缓慢上升到T,试问在这个过程中,气体对活塞做了多少功?气体是吸收还是放出了热量?(假定在气体状态变化过程中,两物块均不会碰到气缸顶部)。

 

解析:⑴设左、右活塞的面积分别为A/A,由于气体处于平衡状态,故两活塞对气体的压强相等,即: 

    由此得: 

在两个活塞上各加一质量为m的物块后,右活塞降至气缸底部,所有气体都在左气缸中。

在初态,气体的压强为,体积为;在末态,气体压强为,体积为(x为左活塞的高度)。由玻意耳-马略特定律得:

         

解得:    即两活塞的高度差为

   ⑵当温度由T0上升至T时,气体的压强始终为,设x/是温度达到T时左活塞的高度,由盖·吕萨克定律得: 

   活塞对气体做的功为:

   在此过程中气体吸收热量

试题详情


同步练习册答案