0  419362  419370  419376  419380  419386  419388  419392  419398  419400  419406  419412  419416  419418  419422  419428  419430  419436  419440  419442  419446  419448  419452  419454  419456  419457  419458  419460  419461  419462  419464  419466  419470  419472  419476  419478  419482  419488  419490  419496  419500  419502  419506  419512  419518  419520  419526  419530  419532  419538  419542  419548  419556  447090 

4、设变量满足约束条件,则目标函数

=2+4的最大值为( )

A.10           B. 12           C.13          D.14

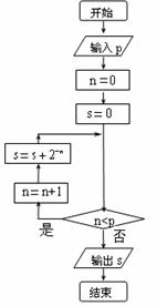
5执行如图的程序框图,如果输入,则输出的(   )

(A)   (B)     (C)   (D)

试题详情

3、已知是三条不同的直线,是三个不同的平面,下列命题中正确的是(  )(A)//       (B)//,//// (C)//       (D)//,////


(第5题)

试题详情

2、设x是实数,则“x>0”是“|x|>0”的 (   )

A.充分不必要条件         B. 必要不充分条件 

C.充要条件            D.既不充分也不必要条件

试题详情

1.集合A={-1,0,1},B={y|y=cosxx∈A},则AB=(  )

     A.{0}         B.{1}         C.{0,1}      D.{-1,0,1}

试题详情

11.判断下列各句对错,不正确的一项是(  )

A.本语段节选自《晋书‘王羲之传》,是一篇书序。序,古代文体的一种,大多用以题赠,或作为著述的前言。本语段内容突出了书序的特点。

B.本语段一开头就出现了一个阔大的境界:“人之相与,俯仰一世”。但这并不显得突然:“人之相与”,指人际交往,是个普遍性命题,也包括这次兰亭之会在内;“俯”“仰”二字在这里用的是它们合义,表示时间过得很快。这包含着人怎样在人群中度过一生这一问题,由此而引发作者的感慨,可谓自然之极。

C.“情随事迁,感慨系之矣”,这种人人都有的情怀说明了—个事实:不管生活方式有怎样的不同,人总是留恋于生活中那些美好的事物,也就是留恋于有生之乐。

D.“死生亦大矣”,是作者的基本观点,作为书序,以此来概括一篇之意,这正是本文作者见解高远之处。

试题详情

10.对“后之览者,亦将有感于斯文”的含义理解最确切的一项是(  )

A.后来者读这次集会的诗文,也会产生感慨。

B.后来的人读我的文章,也会由此而产生很多感想。

C.后世的读者读这次集会的诗文,也会与我有同感。

D.后世的读者读我的文章,也会被我的文章所感动。

试题详情

9.下列句子翻译错误的一项是(  )

A.或因寄所托,放浪形骸之外

(译文)就着自己所爱好的事物,寄托自己的情怀,不受拘束,放纵无拘地生活。

B.未尝不临文嗟悼,不能喻之于怀。

(译文)面对古人那些文章我总是感叹悲伤,可总是不能表达出来。

C.向之所欣,俯仰之间,已为陈迹。

(译文)原先兴盛的,转眼之间,已成为旧迹。

D.固知一死生为虚诞。

(译文)本来知道把死和生等同起来的说法是不真实的。

试题详情

8.对下列句式判断正确的是(   )

①岂不痛哉②死生亦大矣③当其欣于所遇④则与斗卮酒

A.①感叹句②感叹句③宾语前置句④陈述句

B.①反问句②判断句③介宾结构后置④省略句

C.①反问句②判断句③陈述句④宾语前置句

D.①感叹句②反问句③介宾结构后置④省略句

试题详情

7.给下列各句加黑词选择恰当的义项

①或因寄所托,放浪形骸之外(   )

A.原因 B.凭借 C.就着 D.由于

②况修短随化,终期于尽()

A.修饰 B.整治 C.高,长 D .美好

③曾不知老之将至()

A.竟 B.曾经 C.重叠 D.连……都

④向之所欣,俯仰之间()

A.朝向 B.奔向 C.从前 D.假如

试题详情


同步练习册答案