0  419364  419372  419378  419382  419388  419390  419394  419400  419402  419408  419414  419418  419420  419424  419430  419432  419438  419442  419444  419448  419450  419454  419456  419458  419459  419460  419462  419463  419464  419466  419468  419472  419474  419478  419480  419484  419490  419492  419498  419502  419504  419508  419514  419520  419522  419528  419532  419534  419540  419544  419550  419558  447090 

8、已知,则下列结论中正确的是(  )

  A.函数的周期为2;

  B.函数的最大值为1;

  C.将的图象向左平移个单位后得到的图象;

   D.将的图象向右平移个单位后得到的图象;

试题详情

6、设向量, 满足:, , , 则的夹角是(  )

(A)     (B)     

(C)     (D)

(7)一个多面体的三视图分别是正方形、

等腰三角形和矩形, 其尺寸如图,

则该多面体的体积为

  (A)  (B) 

 (C)   (D)

试题详情

4、设变量满足约束条件,则目标函数

=2+4的最大值为( )

A.10           B. 12           C.13          D.14

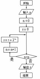
5执行如图的程序框图,如果输入,则输出的(   )

(A)   (B)     (C)   (D)

试题详情

3、已知是三条不同的直线,是三个不同的平面,下列命题中正确的是(  )(A)//       (B)//,//// (C)//       (D)//,////


(第5题)

试题详情

2、设x是实数,则“x>0”是“|x|>0”的 (   )

A.充分不必要条件         B. 必要不充分条件 

C.充要条件            D.既不充分也不必要条件

试题详情

1.集合A={-1,0,1},B={y|y=cosxx∈A},则AB=(  )

     A.{0}         B.{1}         C.{0,1}      D.{-1,0,1}

试题详情

21.(本题15分)已知函数.

(I)若函数在点处的切线斜率为4,求实数的值;

(II)若函数在区间上存在零点,求实数的取值。

(22)(本题满分15分) 已知抛物线C的顶点在原点, 焦点为F(0, 1).

(Ⅰ) 求抛物线C的方程;

(Ⅱ)  在抛物线C上是否存在点P, 使得过点P

的直线交C于另一点Q, 满足PFQF, 且

PQ与C在点P处的切线垂直?

若存在, 求出点P的坐标; 若不存在,请说明理由.

试题详情

19、(本题满分14分)已知数列是首项为1公差为正的等差数列,数列是首项为1的等比数列,设,且数列的前三项依次为1,4,12,

(1)求数列的通项公式;

(2)若等差数列的前n项和为Sn,求数列的前项的和Tn

(20)(本题满分14分)已知为平行四边形,是长方形,的中点,平面平面

(Ⅰ)求证:

(Ⅱ)求直线与平面

  成角的正切值.

试题详情

18、(本题满分14分)在△ABC中,a,b,c分别为角A、B、C的对边,

    (1)求A的最大值;          (2)当角A最大时,求a.

试题详情

17、在平面几何里,有:“若的三边长分别为内切圆半径为,则三角形面积为”,拓展到空间,类比上述结论,“若四面体的四个面的面积分别为内切球的半径为,则四面体的体积为   

试题详情


同步练习册答案