0  419540  419548  419554  419558  419564  419566  419570  419576  419578  419584  419590  419594  419596  419600  419606  419608  419614  419618  419620  419624  419626  419630  419632  419634  419635  419636  419638  419639  419640  419642  419644  419648  419650  419654  419656  419660  419666  419668  419674  419678  419680  419684  419690  419696  419698  419704  419708  419710  419716  419720  419726  419734  447090 

1.(山东卷13)下列推断合理的是

 A.明矾[KAl(SO4)2·12H2O]在水中能形成Al(OH)3胶体,可用作净水剂

 B.金刚石是自然界中硬度最大的物质,不可能与氧气发生反应

 C.浓H2SO4有强氧化性,不能与Cu发生剧烈反应

 D.将SO2通入品红溶液,溶液褪色后加热恢复原色;将SO2通入溴水,溴水褪色后加热也能恢复原色

答案:A

解析:

KAl(SO4)2·12H2O电离出的Al3+能水解,生成Al(OH)3胶体,可用作净水剂,A正确;

金刚石能够与氧气发生反应,生成二氧化碳,B错误;

浓H2SO4有强氧化性,在加热条件下与Cu可剧烈反应,C错误;

SO2使品红溶液褪色,加热颜色能复原;SO2和溴水发生氧化还原反应,加热不能恢复原来颜色,D错误。

试题详情

8.(09年浙江自选·15)“化学与生活”模块(10分)

丰富多彩的化学物质不断改变着人类的生活,它们所产生的作用与其结构密切相关。

(I)请根据以下化合物的分子结构,回答下列问题:

(1)上述化合物可能的应用是    

A. 化合物(Ⅰ)可作为制造聚四氟乙烯塑料的原料;化合物(Ⅱ)可用

B. 两者均可作为食品添加剂

C. 两者均可作为表面活性剂,起到乳化、增溶、消泡等作用

D. 两者均可用作中和胃酸的药物

(2)上述两个化合物进入环境后,更难被降解的是    

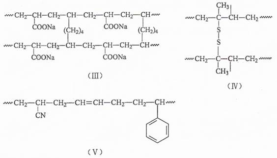
(Ⅱ)有三种高分子材料,结构单元如下:

请回答下列问题

(1)根据上述高分子结构,能够作为高吸水性树脂的是     ,其可能     ,可作为弹性像胶的是     ,理由是    

(2)有关上述高分子材料的下列说法正确的是     (可多选)。

A. 高分子(V)的单体有4种

B. 高分子(Ⅲ)焚烧后产生的废气毒性最小

C. 都能作为食品包装材料

D. 它们的废弃物都回收利用

试题详情

1.(09年浙江理综·7)下列说法正确的是

A.蛋白质、纤维素、蔗糖、PVC、淀粉都是高分子化合物

B.氢键在形成蛋白质二级结构和DNA双螺旋结构中起关键作用

C.使用太阳能热水器、沼气的利用、玉米制乙醇都涉及到生物质能的利用

D.石油、煤、天然气、可燃冰、植物油都属于化石燃料

答案:B

试题详情

6.(09年山东理综·9)下列叙述错误的是

A.合金材料中可能含有非金属元素

B.人造纤维,合成纤维和光导纤维都是有机高分子化合物

C.加热能杀死流感病毒是因为病毒的蛋白质受热变性

D.在汽车排气管上加装“催化转化器”是为了减少有害气体的排放

答案:B

7.(09年天津理综·1)化学与生活密切相关,下列有关说法正确的是

A.维生素C具有还原性,在人体内起抗氧化作用

B.糖类、蛋白质、油脂属于天然高分子化合物

C.煤经气化和液化两个物理变化过程,可变为清洁能源

D.制作航天服的聚酯纤维和用于光缆通信的光导纤维都是新型无机非金属材料

答案:A

试题详情

5.(09年海南化学·20.1)下列有关肥皂的叙述中错误的是:

A.肥皂与纯碱的去污原理相同

B.肥皂可以加速油污在水中的分散

C.肥皂是油脂在碱性条件下水解生成的

D.肥皂主要成分的分子中含有亲油基团和亲水基团

答案:A

试题详情

4.(09年海南化学·18.2)已知某氨基酸的相对分子质量小于200,且氧的质量分数约为0.5,则其分子中碳的个数最多为:

A.5个          B.6个           C.7个           D.8个

答案:B

试题详情

3.(09年广东文基·67)下列有关有机物的说法不正确的是

A.酒精中是否含有水,可用金属钠检验

B.有机酸和醇脱水合成的某些酯,可用作糖果、化妆品中的香料

C.蛋白质在一定条件下能发生水解反应,生成氨基酸

D.乙烯通过聚合反应可合成聚乙烯,聚乙烯塑料可用来制造多种包装材料

答案:A

试题详情

2.(09年福建理综·9)下列关于常见有机物的说法不正确的是

A.乙烯和苯都能与溴水反应

B.乙酸和油脂都能与氢氧化钠溶液反应

C.糖类和蛋白质都是人体重要的营养物质

D.乙烯和甲烷可用酸性高锰酸钾溶液鉴别

答案:A

试题详情

1.(09年广东理基·31)下列说法不正确的是

A.苯和乙烯都能与H2发生加成反应

B.蔗糖在人体内水解的产物只有葡萄糖

C.食醋中含有乙酸,乙酸可由乙醇氧化得到

D.煤可与水蒸气反应制成水煤气,水煤气的主要成分为CO和H2

答案:B

试题详情

38、战争是一个反人性、残酷的过程,期间充满了生命的挣扎、痛苦和绝望;战争也是一个人性绽放的、壮丽的过程,期间奔流着生命的坚韧、真挚和永恒。

材料一:以色列对加沙发动大规模军事行动相关图片:

 

从2008年12月27日开始,以色列向加沙发动大规模军事行动,日前又发动地面进攻。冲突持续至今,已造成重大人员伤亡和物质损失,特别是许多无辜平民丧生,仍无结束的迹象。持续的战事导致加沙陷入了人道主义危机。中东地区形势动荡不安。

材料二:“战场如同一个牢笼,我们在其中惊恐的等待着可能发生的任何灾难。我们躲藏在枪林弹雨之下,生命悬于一线。生的希望徘徊着离我们远去……”

“这些天我一定要节省

我没有钱可以节省

我一定要节省健康和力量,足够支持我很长的时间

我一定要节省我的神经和我的思想和我的心灵和我的精神之火

……

我一定要节省忍耐,在这些暴风肆虐的日子

在我的生命里我有那么多需要的

……”

这两段文字的作者都死于二战,一个是军人,一个是年仅10岁的犹太小女孩,均尸骨无存。

根据上述材料及所学课文知识回答下列问题:(8分)

(1)导致中东地区形势动荡不安的关键因素是什么?历史证明战争不能解决中东问题。请你提一条让中东安宁的合理建议。

(2)二战给人类带来了深重灾难,二战也给人们留下深深启迪。请你出说二战给人们思想上最深远的影响是什么?假如哪个犹太小女孩还活着,她最有可能生活在哪个国家?对目前以色列向加沙发动的军事行动她最有可能发表的看法是什么?

试题详情


同步练习册答案