0  421175  421183  421189  421193  421199  421201  421205  421211  421213  421219  421225  421229  421231  421235  421241  421243  421249  421253  421255  421259  421261  421265  421267  421269  421270  421271  421273  421274  421275  421277  421279  421283  421285  421289  421291  421295  421301  421303  421309  421313  421315  421319  421325  421331  421333  421339  421343  421345  421351  421355  421361  421369  447090 

1、在植物细胞中,吲哚乙酸主要由色氨酸经一系列酶催化生成。下列相关叙述正确的是

A.    吲哚乙酸可在胚芽鞘中大量合成

B.    色氨酸至少含有一个氨基和一个羧基

C.    吲哚乙酸是一种具有调节作用的蛋白质

D.   过量的色氨酸可抑制吲哚乙酸的合成

答案:B

解析:本题考查了吲哚乙酸(植物生长素)的相关知识。吲哚乙酸主要在幼嫩的芽、叶和发育着的种子中合成,相对集中地分布在生长旺盛的部分,如胚芽鞘;吲哚乙酸是一种化学物质,不是蛋白质;色氨酸是一种氨基酸,氨基酸都有一个相同的结构式:一个C上通过化学键连着一个羧基、一个氨基、一个氢和一个R基团,R基团中也有可能有羧基或氨基,所以色氨酸至少含有一个氨基和一个羧基,B选项正确。

试题详情

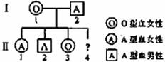
7.(14分)人的血型是由红细胞表面抗原决定的。左表为A型和O型血的红细胞表面抗原及其决定基因,右图为某家庭的血型遗传图谱。

血型
A
红细胞裂面A抗原

抗原决定基因
(显性)
O

(隐性)

据图表回答问题:

(1)控制人血型的基因位于     (常/性)染色体上,判断依据是                

                        

(2)母婴血型不合易引起新生儿溶血症。原因是在母亲妊娠期间,胎儿红细胞可通过胎盘进入母体;剌激母体产生新的血型抗体。该抗体又通过胎盘进入胎儿体内,与红细胞发生抗原抗体反应,可引起红细胞破裂。因个体差异,母体产生的血型抗体量及进入胎儿体内的量不同,当胎儿体内的抗体达到一定量时,导致较多红细胞破裂,表现为新生儿溶血症。

①II-1出现新生儿溶血症,引起该病的抗原是           。母婴血型不合  

        (一定/不一定)发生新生儿溶血症。

②II-2的溶血症状较II-1严重。原因是第一胎后,母体已产生      ,当相同抗原再次剌激时,母体快速产生大量血型抗体,引起II-2溶血加重。

③新生儿胃肠功能不健全,可直接吸收母乳蛋白。当溶血症新生儿哺母乳后,病情加重,其可能的原因是                            

(3)若II-4出现新生儿溶血症,其基因型最有可能是        

试题详情

2.本卷共2题,共44分。

试题详情

1.用黑色墨水的钢笔或签字笔将答案写在答题卡上。

试题详情

6.按下表设计进行实验,分组后,在相同的适宜条件下培养8-10小时,并对实验结果进行分析。

实验材料
取样
处理
分组
培养液
供氧情况
 
适宜浓度
酵母菌液
50 mL

破碎细胞
(细胞不完整)

25 mL
75 mL
无氧

25 mL
75 mL
遇氧
50 mL
未处理

25 mL
75 mL
无氧

25 mL
75 mL
通氧

下列叙述正确的是

A.   甲组不产生CO2而乙组产生

B.    甲组的酒精产量与丙组相同

C.    丁组能量转换率与丙组相同

D.   丁组的氧气消耗量大于乙组

答案:D

[解析]酵母菌在有氧的条件下能将葡萄糖分解成CO2和水,无氧的条件下将葡萄糖分解成CO2和酒精。依题意,甲组、丙组进行无氧呼吸,乙组、丁组进行有氧呼吸。甲组、乙组两组都产生CO2,由于甲组细胞不完整,甲组的酒精产量较丙组少,丁组能量转换率较丙组高,丁组的氧气消耗量大于乙组。故D正确。

2009年普通高等学校招生全国统一考试(天津卷)

理科综合 生物部分

第II卷

注意事项:

试题详情

5.下图表示气候变化对甲、乙生态系统中种群类型数量的影响。

据图分析,下列叙述正确的是

①   甲生态系统的抵抗力稳定性一定较乙生态系统强

②   甲生态系统中生物群落的营养关系一定较乙复杂

③   乙生态系统在S点后一定有新的物种产生

④   乙生态系统在S点后一定经历次生演替过程

A.①③               B.①④             C.②③          D.②④

答案:B

[解析]从图可以看出,甲生态系统种群类型数量较乙生态系统多,一般来说,生态系统中的组分越多,食物网越复杂,抵抗力稳定性越强,因此甲生态系统的抵抗力稳定性一定较乙生态系统强。群落是同一时间内在一定区域中各种生物种群的集合,这样甲生态系统中生物群落的营养关系不一定较乙复杂;新的物种产生必须经过生殖隔离,乙生态系统在S点后不一定有新的物种产生;乙生态系统在S点时种群类型数量降到最低,而S点后种群类型数量又逐渐增加,可见S点后一定经历过一个次生演替的过程。所以①④正确,选B。

试题详情

4.下面为动物机体的细胞凋亡及清除示意图。

据图分析,不正确的是

A.①过程表明细胞凋亡是特异性的,体现了生物膜的信息传递功能

B. 细胞凋亡过程中有新蛋白质合成,体现了基因的选择性表达

C. ②过程中凋亡细胞被吞噬,表明细胞凋亡是细胞被动死亡过程

D.凋亡相关基因是机体固有的,在动物生长发育过程中发挥重要作用

答案:C

[解析]由基因所决定的细胞自动结束生命的过程,叫细胞凋亡。①是凋亡诱导因子与膜受体发生特异性结合,表明细胞凋亡具有特异性,体现了生物膜的信息传递功能;细胞凋亡过程中有新蛋白质合成,体现了基因的选择性表达;②过程中凋亡细胞被吞噬,是细胞主动死亡的过程;凋亡相关基因在机体中本来就存在,是固有的,在动物生长发育过程中的不同时期表达,从而发挥重要作用。因此C不正确。

试题详情

3.下列过程中,涉及肽键数量变化的是

A.洋葱根尖细胞染色体的复制

B. 用纤维素酶处理植物细胞

C. 小肠上皮细胞吸收氨基酸

D.蛋清中加入NaCl使蛋白质析出

答案:A

[解析]洋葱根尖细胞染色体复制过程中发生蛋白质的合成,涉及肽键数量的变化;用纤维素酶处理植物细胞,只是使细胞壁中的纤维素水解;小肠上皮细胞吸收氨基酸是一个主动运输的过程,不发生蛋白质的合成;蛋清中加入NaCl是使蛋白质析出,不发生蛋白质的合成。所以A正确。

试题详情

2.下列是有关著名科学家通过研究取得重要理论成果的叙述,正确的是

A.虎克(R.Hooke)在显微镜下观察木栓组织发现蜂窝状“细胞”,建立了细胞学说

B. 坎农(on)通过研究细胞内基因表达的过程,提出了内环境稳态概念

C. 摩尔根(T.H.Morgan)对雄果蝇白眼性状的遗传分析,证明了基因位于染色体上

D.韦尔穆特(I.Wilmut)等在体外条件下将羊体细胞培养成了成熟个体,证明了哺乳动物体细胞具有全能性

答案:C

[解析]虎克只是在显微镜下观察到了本栓组织,发现“细胞”,细胞学说是施莱登和施旺提出的。坎农提出了内环境稳态的概念,但不是通过研究细胞内基因的表达提出的,细胞内基因的表达是众多科学家研究的结果。摩尔根对雄果蝇白眼性状的遗传分析,证明了控制果蝇眼色的基因位于X染色体上;韦尔穆特在体外条件下将羊体细胞培养成了成熟个体,只能说明哺乳动物体细胞的细胞核具有全能性,不能说明哺乳动物体细胞具有全能性。所以C正确

试题详情

1.下列选项中,两类细胞的染色体数目均可呈周期性变化的是

A.   蛙的红细胞与淋巴细胞

B.    小鼠骨髓瘤细胞与杂交瘤细胞

C.    人的胚胎干细胞与成熟红细胞

D.   牛的精细胞与精原细胞

答案:B

[解析]染色体数目呈周期性变化的一定是处于分裂的细胞,题中蛙的红细胞、淋巴细胞、成熟的红细胞、牛的精细胞均不再分裂了,小鼠骨髓瘤细胞、杂交瘤细胞以及精原细胞都具有细胞周期,能进行分裂,所以B正确。

试题详情


同步练习册答案