0  423629  423637  423643  423647  423653  423655  423659  423665  423667  423673  423679  423683  423685  423689  423695  423697  423703  423707  423709  423713  423715  423719  423721  423723  423724  423725  423727  423728  423729  423731  423733  423737  423739  423743  423745  423749  423755  423757  423763  423767  423769  423773  423779  423785  423787  423793  423797  423799  423805  423809  423815  423823  447090 

26. In order to continue to learn by ourselves after leaving school, we must  ______ learn how to study in the school now .

   A. after all  B. in all    C. above all  D. first of all

试题详情

25. The job is great in terms of salary . It has its disadvantages, _______ .

   A. though   B. however   C. even  D. therefore

试题详情

24. ______ it is hoped that college students should be equipped with the ability to take a good set of notes, this is not always the case.

   A. When   B. While    C. As   D. Unless

试题详情

23. The child should be punished. You shouldn’t let him ______ telling lies.

  A. keep away from      B. keep away with

  C. get away from       D. get away with

试题详情

22. Susan was just  _____ at those pigeons at the time, so I don’t think she saw me.

  A. spotting   B. watching  C. glaring    D. staring

试题详情

第一节:单项填空(共15小题;每小题1分,满分15分)

从A、B、C、D四个选项中,选出可以填入空白处的最佳选项。

21. ------Mum,can I go out to play with Tom for just a while ?

  ------ _______ and do what you like.

  A. No way   B. Go ahead  C. It depends  D. Don’t worry

试题详情

38.(9分)下图为牛胚胎移植的基本程序,请据图回答:

(1)图中a、b、c过程分别是指____________、________________、 __________。

(2)在胚胎移植过程中,供、受体母牛选择好后,要用________激素进行同期发情处理,这样处理的原因是_____________________________________________________,(2分)以保证移植的胚胎能够继续正常发育。

(3)为了提高牛胚胎的利用率,常采取的方法是__________;处理的时期是 ________

________

(4)从哺乳动物早期胚胎或原始性腺中分离出来的细胞,称为ES或EK细胞。这类细胞的形态特征有______________________。

试题详情

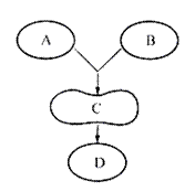
37.(15分)如右图为细胞融合的简略过程,请据图回答:

⑴ 若A、B是植物细胞,在细胞融合之前已用_______处理,除去了_____;A、B到细胞C的过程中,常用的物理方法是_______。

⑵ 若A、B是植物细胞,则形成的D细胞还要应用_______技术把D培养成植株。

⑶ 若A、B是动物细胞,一般取自_________,然后用________,使其分散开来,A、B到C的过程中,常用的不用于植物细胞的手段是_____,所形成的D称为______________。

⑷ 若该过程是制备单克隆抗体,A为小鼠,B为淋巴细胞。那么,在获得此细胞之前,小鼠已被注射了______。注射后小鼠身体产生了相应的_______。图中B为__________。

⑸ 若该过程仍是制备单克隆抗体,在A、B到C的过程中,所形成的C有_____种,用来培养的D细胞应该是____。从中选择出它的方法是____培养。获得D后,常用的培养方法是________。

试题详情


同步练习册答案