0  430844  430852  430858  430862  430868  430870  430874  430880  430882  430888  430894  430898  430900  430904  430910  430912  430918  430922  430924  430928  430930  430934  430936  430938  430939  430940  430942  430943  430944  430946  430948  430952  430954  430958  430960  430964  430970  430972  430978  430982  430984  430988  430994  431000  431002  431008  431012  431014  431020  431024  431030  431038  447090 

6.A、B、C、D是空间不共面的四点,且满足·=0,·=0,·=0,则△BCD是     三角形(用“锐角”、“直角”、“钝角”填空).

答案  锐角

试题详情

5.已知A(4,1,3),B(2,-5,1),C为线段AB上一点,且=,则C点的坐标为     .

答案 

试题详情

4.已知空间四边形ABCD的每条边和对角线的长都等于a,点E、F分别是BC、AD的中点,则·的值为     .

答案  a2

试题详情

3.已知向量a,b满足|a|=2,|b|=3,|2a+b|=,则a与b的夹角为      .

答案  60°

试题详情

2.已知向量a=(8,x,x)b=(x,1,2),其中x>0.若a∥b,则x的值为     .

答案  4

试题详情

1.已知点O、A、B、C为空间不共面的四点,且向量a=++,向量b=+-,则中不能与a,b构成空间基底的向量是     .

答案 

试题详情

(17)(本小题满分12分)

 设G是的重心(即三条中线的交点),

 (Ⅰ)试用表示;(Ⅱ)试用表示

 解:(Ⅰ) ----------------------------------(6分);

 (Ⅱ) -----------------------------------(12分)

 (18) (本小题满分12分)

 已知函数

 (Ⅰ)求证: 在区间内单调递减,在内单调递增;

 (Ⅱ)求在区间上的最小值.

(Ⅰ)证明:设 ,则

 

区间内单调递减,同理可证在内单调递增;-----------------------   (7分);

 (Ⅱ)利用单调性的定义或奇函数的性质可知在区间上单增,

-----------------------------------------------------------------------------(12分)

(19).(本小题满分12分)

 已知

(Ⅰ)求的值;

(Ⅱ)求的值.

 

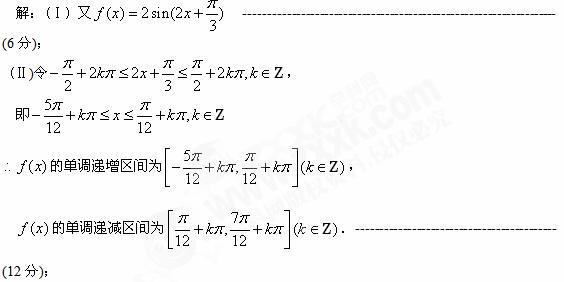
(20).(本小题满分12分)

已知

图象的一部分如图所示:

(1)求的解析式;(2)写出的单调区间.

 (21).(本小题满分12分)

舒城县某租赁公司拥有汽车100辆,当每辆车的月租金为3000元时,可全部租出。当每辆车的月租金每增加50元时,未租出的车将会增加一辆。租出的车每辆每月需要维护费150元,未租出的车每辆每月需要维护费50元。

(1)当每辆车的月租金定为3600元时,能租出多少辆车?

(2)当每辆车的月租金定为多少元时,租赁公司的月收益最大?最大月收益是多少?

解:(1)当每辆车的月租金定为3600时,未租出的车辆数为:,所以这时租出了88辆车。---------------------------------------------------------------------------------------------------------------   (4分);

(2)设每辆本的月租金定为元,则租赁公司的月收益为:

整理得:。所以,当时,最大,其最大值为。即当每辆车的月租金定为4050元时,租赁公司的月收益最大,最大收益为307050元。---------------------------------------------------------------------------------------------------   (12分);

 (22).(本小题满分14分)

 已知: 是定义在上的函数,且①,②对,恒有时,有

(Ⅰ)求证:=2;    

(Ⅱ)求证:上单调递增。

(Ⅲ)若,求的取值范围。(提示:注意利用已证结论)

试题详情

(13) 函数的值域为      

答案:

(14) 函数,则        

答案:

(15) 已知的图像关于直线对称,则=       

答案:

 (16) 设是R上的奇函数,且在内是增函数,又,则的解集是     

答案:

试题详情

(1) 已知          (  D  )

A. B. C. D.

(2) 化简                     (  D  )

A. B. C. D.

(3)  已知,则         ( C  )

A.  B.  C.  D.

(4) 函数的定义域为           (  B  )

A.   B. C.   D.

(5) 设已知则         (  A  )

A. B. C. D.

(6) 已知点在第三象限,则角的终边位置在        (  B  )

A.第一象限   B.第二象限   C.第三象限   D.第四象限

(7) 若,则                 (  A  )

A.  B.  C.   D.

(8) 为了得到函数的图像,可以将函数的图像  (  B  )

A.向右平移个单位     B.向右平移个单位  

C.向左平移个单位     D.向右平移个单位

(9) 若函数在区间上是增函数,则的取值范围是(  B  )

A.     B.     C.     D.

(10) 要使函数的图像不经过第二象限,则的取值范围是      (  A  )

A.     B.     C.     D.

(11) 依据“二分法”,函数的实数解落在的区间是       (  B  )

A.     B.     C.     D.

(12) 定义在上的函数既是奇函数,又是周期函数,是它的一个正周期 若将方程在闭区间上的根的个数记为,则可能为               (  D  )

(提示:解选择题有诸多技巧。比如:排除法、一般问题特殊化等)

A 0          B 1           C 3          D 5

试题详情

23.(本小题满分10分)已知f(x)是定义域为(0,+∞)的函数,当x∈(0,1)时,

<0.现针对任意正实数x、y,给出下列四个等式:

①  ;        ②  ;

 ;      ④ 

请选择其中的一个等式作为条件,使得在(0,+∞)上为增函数.并证明你的结论.

解:你所选择的等式代号是     .           

试题详情


同步练习册答案