精英家教网 > 初中数学 > 题目详情
在平面直角坐标系中,已知△ABC三个顶点的坐标分别为A(-1,2),B(-3,4),C(-2,9)。
(1)画出△ABC,并求出AC所在直线的解析式;
(2)画出△ABC绕点A顺时针旋转90°后得到的△A1B1C1,并求出△ABC在上述旋转过程中扫过的面积。
解:(1)如图所示,△ABC即为所求,
设AC所在直线的解析式为y=kx+b(k≠0),
∵A(-1,2),C(-2,9),
解得
∴y=-7x-5;
(2)如图所示,△A1B1C1即为所求,
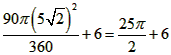
由图可知,AC=
S=S扇形+S△ABC
=
练习册系列答案
相关习题

科目:初中数学 来源: 题型:

28、在平面直角坐标系中,点P到x轴的距离为8,到y轴的距离为6,且点P在第二象限,则点P坐标为
(-6,8)

查看答案和解析>>

科目:初中数学 来源: 题型:

10、在平面直角坐标系中,点P1(a,-3)与点P2(4,b)关于y轴对称,则a+b=
-7

查看答案和解析>>

科目:初中数学 来源: 题型:

在平面直角坐标系中,有A(2,3)、B(3,2)两点.
(1)请再添加一点C,求出图象经过A、B、C三点的函数关系式.
(2)反思第(1)小问,考虑有没有更简捷的解题策略?请说出你的理由.

查看答案和解析>>

科目:初中数学 来源: 题型:

如图,在平面直角坐标系中,开口向下的抛物线与x轴交于A、B两点,D是抛物线的顶点,O为精英家教网坐标原点.A、B两点的横坐标分别是方程x2-4x-12=0的两根,且cos∠DAB=
2
2

(1)求抛物线的函数解析式;
(2)作AC⊥AD,AC交抛物线于点C,求点C的坐标及直线AC的函数解析式;
(3)在(2)的条件下,在x轴上方的抛物线上是否存在一点P,使△APC的面积最大?如果存在,请求出点P的坐标和△APC的最大面积;如果不存在,请说明理由.

查看答案和解析>>

科目:初中数学 来源: 题型:

18、在平面直角坐标系中,把一个图形先绕着原点顺时针旋转的角度为θ,再以原点为位似中心,相似比为k得到一个新的图形,我们把这个过程记为【θ,k】变换.例如,把图中的△ABC先绕着原点O顺时针旋转的角度为90°,再以原点为位似中心,相似比为2得到一个新的图形△A1B1C1,可以把这个过程记为【90°,2】变换.
(1)在图中画出所有符合要求的△A1B1C1
(2)若△OMN的顶点坐标分别为O(0,0)、M(2,4)、N(6,2),把△OMN经过【θ,k】变换后得到△O′M′N′,若点M的对应点M′的坐标为(-1,-2),则θ=
0°(或360°的整数倍)
,k=
2

查看答案和解析>>

同步练习册答案