精英家教网 > 高中数学 > 题目详情
已知函数f(x)=
(1)判断f(x)的奇偶性并证明;
(2)判断f(x)在(0,1]上的单调性并加以证明;
(3)求f(x)的值域.
【答案】分析:(1)先求函数的定义域,然后利用奇偶性进行判断.(2)利用函数单调性的定义判断.
(3)利用函数的奇偶性和单调性求函数的值域.
解答:解:(1)因为函数的定义域为{x|x≠0},关于原点对称,
所以f(-x)=-x-=-(x+)=-f(x)奇函数)  …(3分)
(2)f(x)在(0,1]上的单调递减
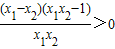
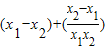
设0<x1<x2≤1,
则0<x1x2<1,x1-x2<0
==
即f(x1)>f(x2),
所以f(x)在(0,1]上的是单调递减函数…(8分)
(3)由(2)同理可证f(x)在[1,+∞)上的是单调递增函数,
又f(x)在(0,1]上的是单调递减函数,
∴x>0时,f(x)min=f(1)=2.
而f(x)为奇函数,其图象关于原点对称
∴x<0时,f(x)max=f(-1)=-2.
所以函数f(x)的值域为(-∞,-2]∪[2,+∞).…(12分)
点评:本题的考点是考查函数奇偶性,单调性和值域的求法,要求熟练掌握函数的性质和定义.
练习册系列答案
相关习题

科目:高中数学 来源: 题型:

已知函数f(x)=sinxcosφ+cosxsinφ(其中x∈R,0<φ<π).
(1)求函数f(x)的最小正周期;
(2)若函数y=f(2x+
π
4
)
的图象关于直线x=
π
6
对称,求φ的值.

查看答案和解析>>

科目:高中数学 来源: 题型:

已知函数f(x)为定义在R上的奇函数,且当x>0时,f(x)=(sinx+cosx)2+2cos2x,
(1)求x<0,时f(x)的表达式;
(2)若关于x的方程f(x)-a=o有解,求实数a的范围.

查看答案和解析>>

科目:高中数学 来源: 题型:

已知函数f(x)=aInx-ax,(a∈R)
(1)求f(x)的单调递增区间;(文科可参考公式:(Inx)=
1
x

(2)若f′(2)=1,记函数g(x)=x3+x2[f(x)+
m
2
]
,若g(x)在区间(1,3)上总不单调,求实数m的范围.

查看答案和解析>>

科目:高中数学 来源: 题型:

已知函数f(x)=x2-bx的图象在点A(1,f(1))处的切线l与直线3x-y+2=0平行,若数列{
1
f(n)
}
的前n项和为Sn,则S2010的值为(  )
A、
2011
2012
B、
2010
2011
C、
2009
2010
D、
2008
2009

查看答案和解析>>

科目:高中数学 来源: 题型:

已知函数f(x)是定义在区间(-1,1)上的奇函数,且对于x∈(-1,1)恒有f’(x)<0成立,若f(-2a2+2)+f(a2+2a+1)<0,则实数a的取值范围是
 

查看答案和解析>>

同步练习册答案