【答案】
分析:(Ⅰ)先确定等比数列的公比,再利用等比数列的通项公式求通项,进而利用裂项法求数列{b
n}的前n项和;
(Ⅱ)分类讨论:①当n为偶数时,由λT
n<n-2恒成立得

;②当n为奇数时,由λT
n<n+2恒成立得

,由此可得实数λ的取值范围.
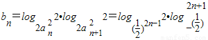
解答:解:(Ⅰ)设{a
n}的公比为q,由

得

,
∴

.----------------------------------(2分)

=

∴

=

.----(5分)
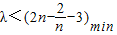
(Ⅱ)①当n为偶数时,由λT
n<n-2恒成立得,

恒成立,
即

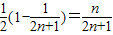
,----------------------------------(6分)
而

随n的增大而增大,∴n=2时

,
∴λ<0;----------------------------------(8分)
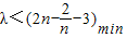
②当n为奇数时,由λT
n<n+2恒成立得,

恒成立,
即

,-----------------------------------(9分)
而

,当且仅当

等号成立,
∴λ<9.---------------------------------------(11分)
综上,实数λ的取值范围(-∞,0).----------------------------------------(12分)
点评:本题考查等比数列的通项,考查恒成立问题,考查分类讨论的数学思想,考查求最值,属于中档题.