精英家教网 > 高中数学 > 题目详情
已知椭圆的离心率为,求椭圆的短轴长.
【答案】分析:分类讨论,利用离心率为,建立方程,求出m,即可求椭圆的短轴长.
解答:解:焦点在x轴上时,
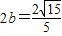
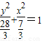
(1)由可得,此时方程为,∴
(2)由,无解;
焦点在y轴上时,
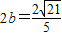
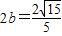
(3)由可得m=,此时方程为,∴
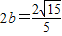
(4)由,可得m=,此时方程为,∴
综上:
点评:本题考查椭圆的性质,考查分类讨论的数学思想,考查学生分析解决问题的能力,属于中档题.
练习册系列答案
相关习题

科目:高中数学 来源: 题型:

已知椭圆的离心率为e,两焦点分别为F1、F2,抛物线C以F1为顶点、F2为焦点,点P为抛物线和椭圆的一个交点,若e|PF2|=|PF1|,则e的值为(  )
A、
1
2
B、
2
2
C、
3
3
D、以上均不对

查看答案和解析>>

科目:高中数学 来源: 题型:

已知椭圆的离心率为
1
2
,焦点是(-3,0),(3,0),则椭圆方程为(  )
A、
x2
36
+
y2
27
=1
B、
x2
36
-
y2
27
=1
C、
x2
27
+
y2
36
=1
D、
x2
27
-
y2
36
=1

查看答案和解析>>

科目:高中数学 来源: 题型:

如图,在由圆O:x2+y2=1和椭圆C:
x2
a2
+y2
=1(a>1)构成的“眼形”结构中,已知椭圆的离心率为
6
3
,直线l与圆O相切于点M,与椭圆C相交于两点A,B.
(1)求椭圆C的方程;
(2)是否存在直线l,使得
OA
OB
=
1
2
OM
2
,若存在,求此时直线l的方程;若不存在,请说明理由.

查看答案和解析>>

科目:高中数学 来源: 题型:

(1)已知椭圆的离心率为
2
2
,准线方程为x=±8,求这个椭圆的标准方程;
(2)假设你家订了一份报纸,送报人可能在早上6:30-7:30之间把报纸送到你家,你父亲离开家去工作的时间在早上7:00-8:00之间,请你求出父亲在离开家前能得到报纸(称为事件A)的概率.

查看答案和解析>>

科目:高中数学 来源: 题型:

如图,A,B是椭圆C:
x2
a2
+
y2
b2
=1(a>b>0)
的左、右顶点,M是椭圆上异于A,B的任意一点,已知椭圆的离心率为e,右准线l的方程为x=m.
(1)若e=
1
2
,m=4,求椭圆C的方程;
(2)设直线AM交l于点P,以MP为直径的圆交MB于Q,若直线PQ恰过原点,求e.

查看答案和解析>>

同步练习册答案