精英家教网 > 高中数学 > 题目详情
已知椭圆的离心率为,过右焦点F的直线l与C相交于A、B两点,当l的斜率为1时,坐标原点O到l的距离为
(I)求a,b的值;
(II)C上是否存在点P,使得当l绕F转到某一位置时,有成立?若存在,求出所有的P的坐标与l的方程;若不存在,说明理由.
【答案】分析:(I)设F(c,0),则直线l的方程为x-y-c=0,由坐标原点O到l的距离求得c,进而根据离心率求得a和b.
(II)由(I)可得椭圆的方程,设A(x1,y1)、B(x2,y2),l:x=my+1代入椭圆的方程中整理得方程△>0.由韦达定理可求得y1+y2和y1y2的表达式,假设存在点P,使成立,则其充要条件为:点P的坐标为(x1+x2,y1+y2),代入椭圆方程;把A,B两点代入椭圆方程,最后联立方程求得c,进而求得P点坐标,求出m的值得出直线l的方程.
解答:解:(I)设F(c,0),直线l:x-y-c=0,
由坐标原点O到l的距离为
,解得c=1

(II)由(I)知椭圆的方程为
设A(x1,y1)、B(x2,y2
由题意知l的斜率为一定不为0,故不妨设l:x=my+1
代入椭圆的方程中整理得(2m2+3)y2+4my-4=0,显然△>0.
由韦达定理有:,①
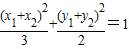
假设存在点P,使成立,则其充要条件为:
点P的坐标为(x1+x2,y1+y2),
点P在椭圆上,即
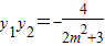
整理得2x12+3y12+2x22+3y22+4x1x2+6y1y2=6.
又A、B在椭圆上,即2x12+3y12=6,2x22+3y22=6、
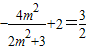
故2x1x2+3y1y2+3=0②
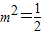
将x1x2=(my1+1)(my2+1)=m2y1y2+m(y1+y2)+1及①代入②解得

x1+x2=,即


点评:本题主要考查了椭圆的性质.处理解析几何题,学生主要是在“算”上的功夫不够.所谓“算”,主要讲的是算理和算法.算法是解决问题采用的计算的方法,而算理是采用这种算法的依据和原因,一个是表,一个是里,一个是现象,一个是本质.有时候算理和算法并不是截然区分的.例如:三角形的面积是用底乘高的一半还是用两边与夹角的正弦的一半,还是分割成几部分来算?在具体处理的时候,要根据具体问题及题意边做边调整,寻找合适的突破口和切入点.
练习册系列答案
相关习题

科目:高中数学 来源: 题型:

已知椭圆的离心率为e,两焦点分别为F1、F2,抛物线C以F1为顶点、F2为焦点,点P为抛物线和椭圆的一个交点,若e|PF2|=|PF1|,则e的值为(  )
A、
1
2
B、
2
2
C、
3
3
D、以上均不对

查看答案和解析>>

科目:高中数学 来源: 题型:

已知椭圆的离心率为
1
2
,焦点是(-3,0),(3,0),则椭圆方程为(  )
A、
x2
36
+
y2
27
=1
B、
x2
36
-
y2
27
=1
C、
x2
27
+
y2
36
=1
D、
x2
27
-
y2
36
=1

查看答案和解析>>

科目:高中数学 来源: 题型:

如图,在由圆O:x2+y2=1和椭圆C:
x2
a2
+y2
=1(a>1)构成的“眼形”结构中,已知椭圆的离心率为
6
3
,直线l与圆O相切于点M,与椭圆C相交于两点A,B.
(1)求椭圆C的方程;
(2)是否存在直线l,使得
OA
OB
=
1
2
OM
2
,若存在,求此时直线l的方程;若不存在,请说明理由.

查看答案和解析>>

科目:高中数学 来源: 题型:

(1)已知椭圆的离心率为
2
2
,准线方程为x=±8,求这个椭圆的标准方程;
(2)假设你家订了一份报纸,送报人可能在早上6:30-7:30之间把报纸送到你家,你父亲离开家去工作的时间在早上7:00-8:00之间,请你求出父亲在离开家前能得到报纸(称为事件A)的概率.

查看答案和解析>>

科目:高中数学 来源: 题型:

如图,A,B是椭圆C:
x2
a2
+
y2
b2
=1(a>b>0)
的左、右顶点,M是椭圆上异于A,B的任意一点,已知椭圆的离心率为e,右准线l的方程为x=m.
(1)若e=
1
2
,m=4,求椭圆C的方程;
(2)设直线AM交l于点P,以MP为直径的圆交MB于Q,若直线PQ恰过原点,求e.

查看答案和解析>>

同步练习册答案