相关习题
 0  78496  78504  78510  78514  78520  78522  78526  78532  78534  78540  78546  78550  78552  78556  78562  78564  78570  78574  78576  78580  78582  78586  78588  78590  78591  78592  78594  78595  78596  78598  78600  78604  78606  78610  78612  78616  78622  78624  78630  78634  78636  78640  78646  78652  78654  78660  78664  78666  78672  78676  78682  78690  266669 

科目: 来源:2011-2012学年江西省南昌二中高二(上)第二次月考数学试卷(理科)(解析版) 题型:选择题

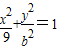
点P在椭圆(a>2)上,F1,F2是焦点,且=0,则△F1PF2的面积是( )
A.8-4
B.4+2
C.4
D.8

查看答案和解析>>

科目: 来源:2011-2012学年江西省南昌二中高二(上)第二次月考数学试卷(理科)(解析版) 题型:选择题

已知点A(1,3)和抛物线y2=4x,点P在抛物线上移动,P在y轴上的射影为Q,则|PQ|+|PA|的最小值是
( )
A.1+
B.2+
C.3
D.2

查看答案和解析>>

科目: 来源:2011-2012学年江西省南昌二中高二(上)第二次月考数学试卷(理科)(解析版) 题型:选择题

过点(m,0)作圆x2+y2=1的切线交椭圆x2+4y2=4于A,B两点,则|AB|的最大值是( )
A.2
B.4
C.3
D.2

查看答案和解析>>

科目: 来源:2011-2012学年江西省南昌二中高二(上)第二次月考数学试卷(理科)(解析版) 题型:填空题

抛物线y=ax2(a≠0)的焦点坐标是   

查看答案和解析>>

科目: 来源:2011-2012学年江西省南昌二中高二(上)第二次月考数学试卷(理科)(解析版) 题型:填空题

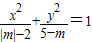
已知AB,CD分别为椭圆的长轴和短轴,若=,且,则椭圆的离心率是   

查看答案和解析>>

科目: 来源:2011-2012学年江西省南昌二中高二(上)第二次月考数学试卷(理科)(解析版) 题型:填空题

已知焦点在x轴上的双曲线的虚轴长等于半焦距,则双曲线的渐近线方程是   

查看答案和解析>>

科目: 来源:2011-2012学年江西省南昌二中高二(上)第二次月考数学试卷(理科)(解析版) 题型:填空题

已知椭圆(0<b<3)与双曲线x2-=1有相同的焦点F1,F2,P是两曲线位于第一象限的一个交点,则cos∠F1PF2=   

查看答案和解析>>

科目: 来源:2011-2012学年江西省南昌二中高二(上)第二次月考数学试卷(理科)(解析版) 题型:填空题

已知M(-5,0),N(5,0),给出下列直线的方程:①5x-3y=0;②5x-3y-52=0;③x-y-4=0;④4x-3y+15=0,在直线上存在点P满足|MP|=|PN|+6的直线方程是   

查看答案和解析>>

科目: 来源:2011-2012学年江西省南昌二中高二(上)第二次月考数学试卷(理科)(解析版) 题型:解答题

求过原点且被圆x2+y2-4x-5=0所截得的弦长度为4的直线方程.

查看答案和解析>>

科目: 来源:2011-2012学年江西省南昌二中高二(上)第二次月考数学试卷(理科)(解析版) 题型:解答题

已知椭圆的离心率为,求椭圆的短轴长.

查看答案和解析>>

同步练习册答案