相关习题
 0  78733  78741  78747  78751  78757  78759  78763  78769  78771  78777  78783  78787  78789  78793  78799  78801  78807  78811  78813  78817  78819  78823  78825  78827  78828  78829  78831  78832  78833  78835  78837  78841  78843  78847  78849  78853  78859  78861  78867  78871  78873  78877  78883  78889  78891  78897  78901  78903  78909  78913  78919  78927  266669 

科目: 来源:2012-2013学年广东省汕头市潮南区两英中学高一(上)期末数学试卷(解析版) 题型:选择题

=(,tanα),=(cosα,),且,则锐角α的值为( )
A.
B.
C.
D.

查看答案和解析>>

科目: 来源:2012-2013学年广东省汕头市潮南区两英中学高一(上)期末数学试卷(解析版) 题型:选择题

在梯形ABCD中,AB∥CD,AB=2CD,M,N分别是CD,AB的中点,设==.若=m+n,则=( )
A.
B.-4
C.
D.4

查看答案和解析>>

科目: 来源:2012-2013学年广东省汕头市潮南区两英中学高一(上)期末数学试卷(解析版) 题型:填空题

函数的定义域是   

查看答案和解析>>

科目: 来源:2012-2013学年广东省汕头市潮南区两英中学高一(上)期末数学试卷(解析版) 题型:填空题

函数y=cos2x-3cosx+4的最小值是   

查看答案和解析>>

科目: 来源:2012-2013学年广东省汕头市潮南区两英中学高一(上)期末数学试卷(解析版) 题型:填空题

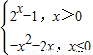
已知函数f(x)=,若函数g(x)=f(x)-m有3个零点,则实数m的取值范围是   

查看答案和解析>>

科目: 来源:2012-2013学年广东省汕头市潮南区两英中学高一(上)期末数学试卷(解析版) 题型:填空题

定义向量的外积为×=||||sinθ,其中θ为的夹角,若=(-1,2),=(1,1),则×=   

查看答案和解析>>

科目: 来源:2012-2013学年广东省汕头市潮南区两英中学高一(上)期末数学试卷(解析版) 题型:解答题

(1)已知,求的值.
(2)化简:

查看答案和解析>>

科目: 来源:2012-2013学年广东省汕头市潮南区两英中学高一(上)期末数学试卷(解析版) 题型:解答题

已知||=4,||=2,且的夹角θ为60°,求
(1)(-2)•(+3);
(2)-的夹角φ.

查看答案和解析>>

科目: 来源:2012-2013学年广东省汕头市潮南区两英中学高一(上)期末数学试卷(解析版) 题型:解答题

已知函数f(x)=Asin(ωx+φ)()的部分图象如图所示.
(1)求f(x)的最小正周期;
(2)求f(x)的解析式;
(3)求f(x)的最大值,并求出取最大值时x的值.

查看答案和解析>>

科目: 来源:2012-2013学年广东省汕头市潮南区两英中学高一(上)期末数学试卷(解析版) 题型:解答题

已知三点A(2,1)、B(3,2)、D(-1,4).
(1)证明:AB⊥AD.
(2)若点C使得四边形ABCD为矩形,求点C的坐标,并求该矩形对角线所夹的锐角的余弦值.

查看答案和解析>>

同步练习册答案