题目列表(包括答案和解析)

 0  119799  119807  119813  119817  119823  119825  119829  119835  119837  119843  119849  119853  119855  119859  119865  119867  119873  119877  119879  119883  119885  119889  119891  119893  119894  119895  119897  119898  119899  119901  119903  119907  119909  119913  119915  119919  119925  119927  119933  119937  119939  119943  119949  119955  119957  119963  119967  119969  119975  119979  119985  119993  447348 

9.42-(1.36+2.42)            5.59-(2.82-3.41)

试题详情

0.63++1.37+            8.48-2.61-1.39

试题详情

12.5-0.05)×8            2.75×29-1.75×29

试题详情

1.25×0.5×8×2     2.5×12        12.5×2.4

试题详情

6.71-3.02       24×99        45×102

142×99+142      101×2.85-2.85     2.5×13×0.4

试题详情

计算

试题详情

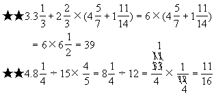
★★1.287×304-28350÷27

★★2.3.2×1.44÷6.4+1.2×(0.1-0.02)

试题详情

★★2.2.4+3.6÷1.2×3=2.4+3.6÷3.6=2.4+1=3.4

试题详情

=(   )

=(   )

试题详情

A.把分数化成小数计算

B.把小数化成分数计算

C.两种方法都可以

D.无法确定

★★2.下列各式中,把分数化成小数和把小数化成分数计算比较简便的算式分别是(   )。

★3.与0.075÷0.25值相等的算式是(   )。

A.0.075÷25  B.0.75÷25

C.7.5÷25   D.75÷25

★★4.29000÷600=48余(   )。

A.2   B.20

C.200  D.2000

★★5.下列各个乘积中,积比被乘数小的是(   )。

A.12×1.2  B.1.2×1.2

C.12×0.12  D.0.12×I2

试题详情


同步练习册答案