精英家教网 > 初中数学 > 题目详情
已知抛物线
(Ⅰ)若,求该抛物线与x轴公共点的坐标;
(Ⅱ)若,且当时,抛物线与x轴有且只有一个公共点,求c的取值范围;
(Ⅲ)若,且时,对应的时,对应的,试判断当时,抛物线与x轴是否有公共点?若有,请证明你的结论;若没有,阐述理由.
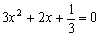
解(Ⅰ)当时,抛物线为
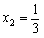
方程的两个根为
∴该抛物线与x轴公共点的坐标是
(Ⅱ)当时,抛物线为,且与x轴有公共点.
对于方程,判别式≥0,有c≤. 
①当时,由方程,解得
此时抛物线为与x轴只有一个公共点. 
②当时,
时,
时,
由已知时,该抛物线与x轴有且只有一个公共点
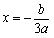
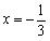
考虑其对称轴为,应有
解得
综上,
(Ⅲ)对于二次函数
由已知时,时,
,∴
于是.而,∴,即
. 
∵关于x的一元二次方程的判别式,
 
∴抛物线与x轴有两个公共点,顶点在x轴下方.
又该抛物线的对称轴
,得

又由已知时,时,,观察图象,

可知在范围内,该抛物线与x轴有两个公共点.
练习册系列答案
相关习题

科目:初中数学 来源: 题型:

已知抛物线
(1)若,求该抛物线与轴公共点的坐标;
(2)若,且当时,抛物线与轴有且只有一个公共点,求的取值范围;
(3)若,且时,对应的时,对应的,试判断当时,抛物线与轴是否有公共点?若有,请证明你的结论;若没有,阐述理由.

查看答案和解析>>

科目:初中数学 来源:2012届福建省厦门市翔安区九年级适应性考试数学卷(带解析) 题型:填空题

已知抛物线
(1)若,求该抛物线与轴公共点的坐标;
(2)若,且当时,抛物线与轴有且只有一个公共点,求的取值范围;
(3)若,且时,对应的时,对应的,试判断当时,抛物线与轴是否有公共点?若有,请证明你的结论;若没有,阐述理由.

查看答案和解析>>

科目:初中数学 来源: 题型:

已知抛物线

(1)若,求该抛物线与轴公共点的坐标;

(2)若,且当时,抛物线与轴有且只有一个公共点,求的取值范围;

(3)若,且时,对应的时,对应的,试判断当时,抛物线与轴是否有公共点?若有,请证明你的结论;若没有,阐述理由.

【解析】(1)通过,求出抛物线的解析式,从而求得与轴公共点的坐标

(2)从当时和当时分别进行分析,求的取值范围

(3)通过关于的一元二次方程的判别式,确定抛物线与轴有两个公共点,顶点在轴下方

 

查看答案和解析>>

科目:初中数学 来源: 题型:

已知抛物线

(1)若,且当时,抛物线与轴有且只有一个公共点,求的取值范围;

(2)若,且当x=0时,对应的y>0;当x=1时,对应的y>0,试判断当时,抛物线与轴是否有公共点?若有,请证明你的结论;若没有,阐述理由.

查看答案和解析>>

科目:初中数学 来源:2011-2012学年福建省厦门市翔安区九年级适应性考试数学卷(解析版) 题型:填空题

已知抛物线

(1)若,求该抛物线与轴公共点的坐标;

(2)若,且当时,抛物线与轴有且只有一个公共点,求的取值范围;

(3)若,且时,对应的时,对应的,试判断当时,抛物线与轴是否有公共点?若有,请证明你的结论;若没有,阐述理由.

【解析】(1)通过,求出抛物线的解析式,从而求得与轴公共点的坐标

(2)从当时和当时分别进行分析,求的取值范围

(3)通过关于的一元二次方程的判别式,确定抛物线与轴有两个公共点,顶点在轴下方

 

查看答案和解析>>

同步练习册答案