精英家教网 > 高中数学 > 题目详情

定义在R上的奇函数有最小正周期4,且时,

(1)求上的解析式;

(2)判断上的单调性,并给予证明;

(3)当为何值时,关于方程上有实数解?

 

【答案】

(1)(2)在(0,2)上单调递减;(3)

【解析】

试题分析:(1)当时,,利用时,,可得,当时,由,可得,又的最小正周期4,可得,由此可求在[-2,2]上的解析式;(2)直接利用函数单调性的定义去求;(3)利用在(0,2)上单调递减和为奇函数,分别求出上的范围,从而得出的取值范围.

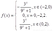
试题解析:(1) 

                     1分

时,,故       3分

                     4分

(2)任取

        6分

因为,,>0

   故在(0,2)上单调递减。            8分

(3)由(2)知:时, 

为奇函数,时,

时,

综上:                 12分

考点:函数奇偶性的性质;函数解析式的求解及常用方法;函数的周期性,函数的单调性.

 

练习册系列答案
相关习题

科目:高中数学 来源: 题型:

定义在R上的奇函数有最小正周期4,且时,。求上的解析式

查看答案和解析>>

科目:高中数学 来源:2011-2012学年湖北省黄冈市浠水县高三9月联考理科数学 题型:解答题

 

(12分) 定义在R上的奇函数有最小正周期4,且时,。求上的解析式

 

查看答案和解析>>

科目:高中数学 来源:2011-2012学年安徽省高三第三次模拟考试理科数学试卷 题型:解答题

(本小题满分12分)定义在R上的奇函数有最小正周期4,且时,

 

⑴求上的解析式;

⑵判断上的单调性,并给予证明;

⑶当为何值时,关于方程上有实数解?

 

查看答案和解析>>

科目:高中数学 来源:2011-2012学年上海市青浦区高三上学期期终学习质量调研测试数学试卷 题型:解答题

(本题满分16分) 本题共有2个小题,第1小题满分10分,第2小题满分6分.

定义在R上的奇函数有最小正周期4,且时,

(1)判断并证明上的单调性,并求上的解析式;

(2)当为何值时,关于的方程上有实数解?

 

查看答案和解析>>

同步练习册答案