题目列表(包括答案和解析)

 0  121166  121174  121180  121184  121190  121192  121196  121202  121204  121210  121216  121220  121222  121226  121232  121234  121240  121244  121246  121250  121252  121256  121258  121260  121261  121262  121264  121265  121266  121268  121270  121274  121276  121280  121282  121286  121292  121294  121300  121304  121306  121310  121316  121322  121324  121330  121334  121336  121342  121346  121352  121360  447348 

31.(28分)喷墨打印机结构简图如图所示,其中墨盒可以发出墨汁微滴,其半径约为10-5m,此微滴经过带电室时被带上负电,带电的多少由计算机按字体笔画高低位置输入信号加以控制。带电后的微滴以一定的初速度进入偏转电场,带电微滴经过偏转电场发生偏转,打到纸上,显示出字体。无信号输入时,墨汁微滴不带电,沿直线通过偏转电场而注入回流槽流回墨合。

   设偏板板长L=1.6×10-2m,两板间的距离为:5.0×10-3m,偏转板的右端距纸的距离D=3.2×10-2m。若一个墨汁微滴的质量为m=1.6×10-10kg以V0=20m/s的初速度垂直于电场方向进入偏转电场,两偏转板间的电压U=8.0×103V,若墨汁微滴打到纸上点距原射入方向的距离是Y=2.0×10-3m。求:(1)这个墨汁微滴通过带电室后带的电量是多少?(不计空气阻力和重力,可以认为偏转电场只局限在平行板电容器内部,忽略边缘电场的不均匀性。)(2)为了使纸上的字体放大,问如何调节U和D?

皖中地区省示范高中高三联考

试题详情

30.(24分)一个气球中充满了2mol的H2S,气球体积为0.15m3,气球内放了一个内装1mol SO2的小容器,小容器与气球本身重力忽略不计,在t=0时刻放手,气球向上飘起,假设上升10 s后,小容器自动弹开放出SO2,又过了10s反应完毕,此时气球的速率为40m/s,方向向上,且在此10s内,气球上升高度为100m,问①写出气球内反应化学方程式,并求出气球内SO2的平均反应速率。②过多久气球重新回到地面?(空气阻力不计,空气密度为1629kg/m3,气球可自由收缩,g取10m/s2,最后计算结果取二位有效数字。)

试题详情

29.(20分)为了测量某一未知毫伏表V1的内阻RX,但已知V1的满偏电压为500mV。Rx的阻值在500Ω左右,另给你如下器材

   A.毫伏表V2,满偏电压为400mV,内阻RV=1KΩ

   B.可变电阻器R1,最大阻值10Ω,额定电流0.1A

   C.可变电阻器R2,最大阻值500Ω,额定电流0.01A

   D.电源E1,电动势为2V,内阻不计

   E.电源E2,电动势为10V,内阻不计

   P.电键S

   G.导线若干

   (为了使测量准确,要求电压表的读数从O开始连续可调)

   (1)上述A、F、C为必用器材,请在B、C、D、E中选取两项合适的器材,填在下列横线上:_________________________。

   (2)在下列方框中画出实验电路图

   (3)实验中需要记录的物理量是__________________。

   (4)用已知量和记录量表示Rx=__________________。

   (5)连接实物图。(图中已连好一根线)

试题详情

28.(30分)用下图所示装置制取并收集SO3,同时测定SO2转化为SO3的转化率

   (2)根据实验需要(Ⅰ)、(Ⅱ)、(Ⅲ)处应连接合适的装置,请从下图中选择合适的装置,将其序号填入以下空格内

   (Ⅰ)、(Ⅱ)、(Ⅲ)处所连接的装置分别为____________、____________、____________

   (2)实验时,浓H2SO4顺利地滴入烧瓶中,甲仪器所起作用的原理是________________。

   (3)从乙处均匀通入O2,为使SO2有较高的转化率,实验时加热和滴加浓H2SO4应采取的操作是____________________。

   (4)用大火加热硬质玻璃管时,SO2转化率会________________________(填“增大”“不变”或“减小”)。

   (5)用a mol Na2SO3粉末与足量浓H2SO4进行此实验,当反应结束时,继续通入O2一段时间后,称得(Ⅱ)装置增重b g,(Ⅲ)装置增重Cg,则本实验中SO2的转化率为__________(列代数式)。

试题详情

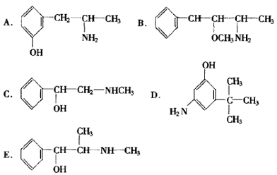
27.(9分)麻黄素又称黄碱,是我国特定的中药材麻黄中所含的一种生物碱。经我国科学工作者研究其结构如下:

能团名称是________________基,属___________类化合物(填“醇”或“酚”)

   (2)写出反应③化学方程式__________________。

   (3)上述①-④反应中,属取代反应有_____________(填序号),加成反应有_______(填序号)

   (4)下列各物质中

与麻黄素互为同分异构体的是_______________(填序号)

互为同系物的是_______________(填序号)

试题详情

26.(25分)CO2是自然界的一种常见气体。由于人类的活动,目的空气中CO2浓度有增大趋势。

   (1)植物在维持大气中CO2和O2浓度方面起着非常重要作用,可固定CO2转化为葡萄糖等物质,试写出反应式。

   ____________________________________。

   (2)目前,造成大气中CO2增加的人类活动包括哪些?

   ____________________________________。

   (3)下面A、B两图表示人体内CO2在血液中运输的部分原理及过程,其中A图表示血液从组织细胞中接受CO2;B图表示CO2从血液进入肺泡排出体外。问:

   ①图A中组织细胞产生CO2的场所是_____________;CO2通过a、b进入血浆以及O2由血浆进入组织细胞并被利用的过程称___________。CO2在血浆中主要以的形式运输,但CO2很少在血浆中与水生成H2CO3,再形成,而是进入红细胞中生成H2CO3,再形成进入血浆。研究表明,这是由于红细胞中含有物质X,它可促进CO2生成的速度大大加快,而血浆中不含有物质X,试问物质X是一种_____________。

   ②图B中e的主要化学成分是___________________。

   ③人体代谢产生的许多酸性或碱性物质进入血浆,血浆PH值之所以变动很小,这是因为血浆中含有许多缓冲对的缘故。NaHCO3/H2CO3就是其中一种。试用离子方程式表示其中的原理:   _________________;___________________。

试题详情

25.(20分)运用所学的有关育种知识,回答下列问题:

(1)分析下列图解

   C.AABBDD(普通小麦)×RR(黑麦)→ABDR(不育)AABBDDRR(小黑麦)

   D.DDTT(高秆抗锈病)×ddtt(矮秆易染锈病)→F1→F2能稳定遗传的矮秆抗锈病品种

   E.DDTT(高秆抗锈病)×ddtt(矮秆易染锈病)→F1→配子幼苗能稳定遗传的矮秆抗锈病品种

   图中A、B项所示的技术名称分别是_____________,属于染色体变异的育种方法是_____________________,D项育种方法的缺点是______________________。①与③最常用的处理方法的作用原理是_______________________。

   (2)石刀板是一种名贵蔬菜,为雌雄异株,属XY型性别决定,其雄株产量与质量都超过雌株。从提高经济效益角度出发,科学工作者运用上述E所示技术原理得到新的植株,再经杂交产生的后代均为雄株。试用图解形式写出培育方案A。如果你有更好的方案B也行,只要能使得到的后代均为雄株。(两种方案任选一种,如果都做,按得分少的给分)

   (3)在一兔群中,表现型正常的双亲生出一头矮生小兔。矮生性状的出现可能有以下几种情况:A正确基因发生显性突变;B正常基因发生隐性突变;C属不遗传变异;D由“携带者”双亲遗传而来;E双亲一方为“携带者”另一方生殖细胞发生了隐性突变。下表四组数据分别是假设的4种杂交实验结果。请在表中填出可能的鉴定结论:

杂交亲代
矮兔×亲代兔
矮兔×纯种正常兔
鉴定结论
杂交子代
矮兔
正常兔
矮兔正常兔

6
6
10
11
 

6
6
0
20
 

0
10
0
20
 

11
0
20
0
 

试题详情

24.如图所示,在匀加速向左运动的车厢内,一个人用力向前推车厢,若人与车始终保持相对静止,则以下结论中哪个是正确的:

   A.人对车厢做正功  B.车厢对人做正功

   C.人对车厢不做功  C.条件不足,无法确定

第Ⅱ卷(非选择题,共156分)

试题详情

23.如图所示,在x轴的原点放一点光源S,距点光源为a处,放一不透光的边长为a的正方体物块,若在x轴的上方距x轴为2a处放一平行于x轴且面向物块的长平面镜,则在x轴上正方体的右边有部分区域被镜面反射来的光照亮,在点光源沿X轴向右移动的距离为多少时,正方体右侧x轴上被光照亮部分将消失。

   A.a  B:  C.  D:

试题详情

22.某原子核的衰变过程下:,则:(   )

   A.X的中子数比P的中子数少2  B.X的质量数比P的质量数多5

   C.X的质子数比P的质子数少1  D.X的质子数比P的质子数多1

试题详情


同步练习册答案