题目列表(包括答案和解析)

 0  121167  121175  121181  121185  121191  121193  121197  121203  121205  121211  121217  121221  121223  121227  121233  121235  121241  121245  121247  121251  121253  121257  121259  121261  121262  121263  121265  121266  121267  121269  121271  121275  121277  121281  121283  121287  121293  121295  121301  121305  121307  121311  121317  121323  121325  121331  121335  121337  121343  121347  121353  121361  447348 

10、某“多肽”,其化学式为C35H42O7N6,已知将它彻底水解后只得到三种氨基酸,甘氨酸(C2H5NO2)、丙氨酸(C3H7NO2)、苯丙氨酸(C9H11NO2),则该“多肽”中含苯丙氨酸的个数为                                            

A.2           B.3           C.4                          D.5

试题详情

9、香烟烟雾中含有CO、CO2、SO2、H2O等气体,用①无水CuSO4、②澄清石灰水、③红热CuO、④生石灰、⑤品红溶液、⑥酸性高锰酸钾等药品可将其一一检出,检测时使用药品的正确顺序(设待检气体为G)是

A.G→①→⑤→②→①→④→③                B.G→③→④→②→⑤→⑤→①

C.G→①→⑤→⑥→②→④→③                 D.G→②→⑤→①→④→③

试题详情

8、两种元素A和M,已知A位于短周期,且M 与A2 + 的电子数之差为8,则下列说法中正确的是

A.A和M的原子序数之差为6                  B.A和M原子的最外层电子数之和为9

C.A和M原子的最外层电子数之差为7          D.A和M原子的电子总数之和可能为11

试题详情

7、氢氧燃料电池用于航天飞船,电极反应产生的水经冷凝后可作为航天员的饮用水,其电极反应如下:

负极:2H2+4OH-4e=4H2O 正极:O2+2H2O+4e=4OH

当得到1.8 L饮用水时(按水的密度1g/mL计算),电池内转移电子的物质的量约为               

A.1.8 mol            B.3.6 mol               C.100 mol                    D.200 mol

试题详情

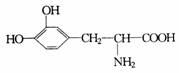
6、L-多巴是一种治疗帕金森氏综合症的药物,其结构简式如下:

下列关于L-多巴性质的推断中正确的是                                                     

A.不可能形成高分子化合物       B.不能跟浓溴水发生取代反应

C.不易被氧化剂氧化             D.能跟氢氧化钠溶液反应

试题详情

5、两只试管均加有溴酚蓝。一名学生用稻草秆向两试管中吹气,溴酚蓝变黄。将水生绿色植物分别放入两只试管中,并将试管塞上塞子。一只试管放于暗处,另一只放于直射光下,直射光下的试管变蓝,暗处的试管仍为黄色。下列哪一叙述最准确描述了光下试管中溶液变蓝的原因   

A.氧气用于光合作用           B.氧气被呼吸作用消耗

C.光合作用吸收了二氧化碳     D.呼吸作用产生二氧化碳

试题详情

4、对下列有关实例形成的原理的解释,正确的是

A.无籽番茄的获得是利用了多倍体育种的原理 

  B.多莉羊的获得是利用了杂交育种的原理

C.单克隆抗体的制备是利用了细胞融合的原理   

D.抗虫棉的获得是利用了基因突变的原理 

试题详情

3、右图表示某植物的非绿色器官在氧浓度为a、b、c、d时,CO2释放量和O2吸收量的变化。下列相关叙述正确的是

A.氧浓度为a时最适于贮藏该植物器官

B.氧浓度为b时无氧呼吸消耗葡萄糖的量是有氧呼吸的5倍

C.氧浓度为c时,无氧呼吸最弱

D.氧浓度为d时,有氧呼吸强度与无氧呼吸强度相等

试题详情

2、某科学家用15N标记胸腺嘧啶脱氧核苷酸,32p标记尿嘧啶核糖核 苷酸研究某胚胎时期细胞的分裂,已知相应的细胞周期为20h,两种核苷酸被利用的情况如右图所示。图中32p和15N的利用峰值分别表示  

A.复制、转录           B.转录、复制  

C.复制、蛋白质合成     D.转录、蛋白质合成

试题详情

1、下列说法不正确的是   

A.细胞质遗传是由细胞质中的遗传物质控制的

B.细胞质遗传遵循基因的分离定律和自由组合定律,后代的性状表现出一定的分离比

C.在细胞质遗传中,F1的性状几乎完全是由母本决定的 

D.线粒体和叶绿体中含有少量的遗传物质,其遗传方式属于细胞质遗传

试题详情


同步练习册答案