题目列表(包括答案和解析)

 0  121883  121891  121897  121901  121907  121909  121913  121919  121921  121927  121933  121937  121939  121943  121949  121951  121957  121961  121963  121967  121969  121973  121975  121977  121978  121979  121981  121982  121983  121985  121987  121991  121993  121997  121999  122003  122009  122011  122017  122021  122023  122027  122033  122039  122041  122047  122051  122053  122059  122063  122069  122077  447348 

15.一质量为m 、带正电的的粒子从0 点竖直向上进人虚线框内的水平方向的  匀强电场中,其运动轨迹如图所示,P点为轨迹的最高点,则 A.电场方向向左,粒子从O 点到P 点的过程中动能先增加后减少

B.电场方向向左,粒子从0 点到P 点的过程中电势能减少

C.电场方向向右,粒子从0 点到P点的过程中动能先减少后增加

D.电场方向向右,粒子从0 点到P点的过程中电势能增加

试题详情

14.一定质量的气体处于平衡状态I ,其压强约一个大气压,现在设法使其与外界无热量交换的条件下体积变大,达到另一个平衡状态Ⅱ,则 A.状态I时气体分子间的作用力比状态Ⅱ时的小 B.状态I时气体的内能比状态Ⅱ时的大 C.状态I时气体的压强比状态Ⅱ时的小 D.从状态I到状态Ⅱ,外界对气体做功

试题详情

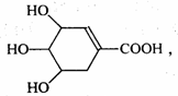
12.八角茴香含有一种抗禽流感病毒的重要成分一一莽草酸,其结构简式为:

则莽草酸不具有的性质是

   A.遇FeC13 溶液呈紫色        

B.能发生消去反应 C.能与H2发生加成反应

D.1 mol 莽草酸只能与1 mol NaOH 反应

l3.在一定温度、一定体积的密闭容器中有如下平衡:H2 (g) + I2 (g)2HI (g),已知H2和I2 的起始浓度均为a mol / L ,达平衡时HI 的浓度为bmol / L;若H2和I2的起始浓度均为2a mol / L,则平衡时H2的物质的量浓度是

A.b mol / L             B.mol / L

C.(2ab)mol / L          D.( a 一 )mol / L

试题详情

11.常温下,对于物质的量浓度相等、体积相同的NaCl溶液与NaF 溶液,下列判断错误的是

A.在NaCl 溶液中一定有c(Na+)+ c ( H+) = c (OH)+ c( Cl) B.在N 亦溶液中一定有:c(Na+)+ c ( H+) = c (OH)+ c(F)

C.NaCl 溶液中的氢离子浓度比NaF 溶液中的氢离子浓度大 D.由于F水解,NaF 溶液中F 减少n molF,必然增加n mol OH

试题详情

10.56 gFe 粉投人500g 稀HNO3中,两者恰好完全反应放出NO,溶液增重26g ,则反应后溶液中的金属阳离子 A.只有Fe3+                B.只有Fe2+

C.有Fe2+和Fe3+                     D.无法确定

试题详情

9.已知酸性:                     综合考虑反应物的转化率和原

料成本等因素,将                      的最佳方法是

A.与稀H2SO4 共热后,加人足量的NaOH 溶液 B.与稀H2SO4 共热后,加人足量的NaHCO3 溶液 C.与足量的NaOH 溶液共热后,再通人足量CO2 D.与足量的NaOH 溶液共热后,再加人适量H2SO4

试题详情

8.氟气是氧化性最强的非金属单质。等物质的量的F2与NaOH 在稀溶液中反应生成NaF、H2O 和一种气体,该气体是

A.HF                    B.OF2

C.H2                              D.O2

试题详情

7.科学家已获得了极具理论研究意义的N4 分子,其结构为正四面体(如右图所示),与白磷分子相似。已知断裂1 mo1N 一N 键吸收193kJ 热量,断裂1 molN≡N 键吸收94IkJ 热量,则

A.N4 的熔点比P4

B.1 molN4气体转化为N2时要吸收748kJ 能量 C.N4是N2的同系物

D.1 mol N4 气体转化为N 时要放出724kJ 能量

试题详情

6.食品保鲜膜按材质分为聚乙烯(PE)、聚氯乙烯(PVC)等种类。PE 保鲜膜可直接接触食品,PVC 保鲜膜则不能直接接触食品,它对人体有潜在危害。下列有关叙述不正确的是

A.PE、PVC 都属于链状高分子化合物,受热易熔化 B.PE、PVC 的单体都是不饱和烃,能使溴水褪色 C.焚烧PVC 保鲜膜会放出有毒气体HCl

D.废弃的PE 和PVC 均可回收利用以减少白色污染

试题详情

5.下面4项有关生物学实验研究的表述,正确的是

A.在检测某人尿液中的含糖量时,用斐林试剂进行鉴定的方法更为简便有效

B.在研究光照强度影响农作物光能利用率的实验中,可将阳生植物和阴生植物放在相同的光照强度条件下进行研究

C.切断小鼠大脑皮层与下丘脑的神经联系,小鼠不能维持体温恒定

D.用带有35S和32P的培养基培养的T2噬菌体分别侵染大肠杆菌,可以证明DNA是遗传物质

试题详情


同步练习册答案