题目列表(包括答案和解析)

 0  122191  122199  122205  122209  122215  122217  122221  122227  122229  122235  122241  122245  122247  122251  122257  122259  122265  122269  122271  122275  122277  122281  122283  122285  122286  122287  122289  122290  122291  122293  122295  122299  122301  122305  122307  122311  122317  122319  122325  122329  122331  122335  122341  122347  122349  122355  122359  122361  122367  122371  122377  122385  447348 

18.下列说法正确的是

   A.物体吸收热量,其温度一定升高

   B.热量只能从高温物体向低温物体传递

   C.遵守热力学第一定律的过程一定能实现

   D.做功和热传递是改变物体内能的两种方式

试题详情

17.分别用波长为2λλ的单色光照射同一金属板,发出的光电子的最大初动能之比为1:3.以h表示普朗克常量,c表示真空中的光速,则此金属板的逸出功为       

A.       B.        C.        D.

试题详情

16.据报道,我国数据中继卫星“天链一号01星”于2008年4月25日在西昌卫星发射中心发射升空,经过4次变轨控制后,于5月1日成功定点在东经77赤道上空的同步轨道.关于成功定点后的“天链一号01星”,下列说法正确的是

A.运行速度大于7.9 km/s

B.离地面高度一定,相对地面静止

C.绕地球运行的角速度比月球绕地球运行的角速度大

D.向心加速度与静止在赤道上物体的向心加速度大小相等

试题详情

15.下列关于共振和多普勒效应的说法正确的是

   A.当驱动力的频率等于系统的固有频率时,受迫振动的振幅最大

  B.军队过桥时要便步走,以免产生周期性的驱动力使桥梁发生共振

  C.多普勒效应发生时波源的频率发生了变化

  D.不仅机械波,电磁波也会发生多普勒效应

试题详情

14.关于放射性元素的衰变,以下说法正确的是

   A.放射性的原子核发生衰变后产生的新核从高能级向低能级跃迁时,辐射出γ射线

  B.发生衰变时,生成核与原来的原子核相比,中子数减少了4

  C.当放射性元素原子的核外电子具有较高能量时,将发生β哀变

  D.天然放射现象的发现揭示了原子的核式结构

试题详情

13.用CH4催化还原 NOx可以消除氮氧化物的污染。例如:

    ①CH4 ( g ) + 4NO2 ( g ) = 4NO ( g ) + CO2 ( g ) + 2H2O ( g ) ;△H=一574kJ·mol-1 

    ②CH4 ( g ) + 4NO ( g ) = 2N2 ( g ) + CO2 ( g ) + 2H2O ( g ) ;△H=一1160kJ·mol一1

下列说法不正确的是                                  (   )

A.由反应①可推知:CH4 ( g ) + 4NO2 ( g ) = 4NO ( g ) + CO2 ( g ) + 2H2O ( l ) ;

H = 一Q  Q>574 kJ·mol-1

B.等物质的量的甲烷分别参加反应①、②,则反应转移的电子数不同

C.若用标准状况下4.48 LCH4还原NO2至N2,放出的热量为 173.4 kJ

D.若用标准状况下4.48 LCH4还原NO2至N2,整个过程中转移的电子总数为1.60 mol

试题详情

10.某化学科研小组针对反应: A2 ( g ) + 3 B2 (g)2AB3 (g) , 研究在其他条件不变时,改变某一条件对化学平衡状态的影响,得到如图所示的变化规律(图中 T 表示温度, n 表示物质的量)。根据如图得出的判断结论正确的是

A.正反应一定是放热反应

B.达到平衡时 A2 的转化率大小为: b > a > c

C.正反应一定是吸热反应,且 T2 > Tl

D. a、b、c 三点比较, b 点平衡体系中 A、B 原子数之比接近 1 : 3

11,常温下,下列有关叙述不正确的是

A.足量铁屑溶于稀硝酸所得溶液中:c(NO3-)>c(Fe2+)>c(H+)>c(OH-)

B.pH相同的CH3COONa溶液、C6H5ONa溶液、Na2CO3溶液、NaHCO3溶液:

c(CH3COONa)>c(NaHCO3) >c(C6H5ONa ) >c(Na2CO3 )

C.已知酸性HF>CH3COOH,物质的量浓度相等的NaF与CH3COOK溶液中,

[c(Na+)-c(F)] < [c(K+)-c(CH3COO)]

D.10mLpH=12的氢氧化钠溶液中加入pH=2的HA溶液至pH刚好等于7,所得溶液体积V(总)≥20 mL

12,某溶液可能含有Na+、Ag+、Al3+、AlO2-、S2-、CO32-、SO32-、NO3等离子中的数种。向此溶液中加入稀盐酸,有浅黄色沉淀和气体出现,此溶液的焰色为黄色。根据以上实验现象,下列结论中不正确的是

A.此溶液中一定有S2-、SO32-、Na+  B.此溶液中可能有AlO2、CO32-

C.此溶液中一定没有Ag+、Al3+    D.此溶液中可能有SO32-、NO3

试题详情

7.下列叙述正确的是

A.糖尿病人应少吃含糖的食品,某八宝粥中注明未加糖,糖尿病人可以放心食用

B.金属矿物中金属的冶炼方法与金属的活泼性有很大的关系

C.环境保护的根本是研究怎样将污染物质转化为有用物质

D.△H>0的化学反应一定不能自发进行

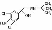
8,去年,某地区约 300 多人,因食用“瘦肉精”喂养的猪肉而中

毒,己知瘦肉精的结构如右图,则它可能发生的化学反应有: ①

酯化反应 ② 取代反应 ③ 氧化反应 ④ 消去反应

A.②④          B.②③

C.①②③         D.①②③④

9,下列实验操作或对实验事实的描述中正确的说法共有

①燃着的酒精灯不慎碰翻失火,可立即用湿布盖灭

②滴定用的锥形瓶和滴定管都要用所盛溶液润洗

③分液时,分液漏斗中下层液体从下口流出,上层液体从上口倒出

④配制硫酸溶液时,可先在量筒内加入一定体积的水,再在搅拌下慢慢加入浓硫酸

⑤不慎将浓碱溶液沾到皮肤上,要立即用大量水冲洗,然后涂上硼酸溶液

⑥用托盘天平称量时,所称药品均可放在纸上,并置于天平的左盘

⑦测定溶液的pH时,可用洁净、干燥的玻璃棒蘸取溶液,滴在pH试纸上,再与标准比色卡比较

⑧浓硝酸与浓盐酸均易挥发,故均应保存在棕色试剂瓶中,并置于阴凉处

⑨配制一定物质的量浓度的溶液,定容时俯视容量瓶的刻度线,会使所配溶液的浓度偏高

⑩可以用酸式滴定管量取20.00mL0.1000mol·L1KMnO4溶液

A.4个      B.5个  C.6个   D.7个

试题详情

5. 有人曾做过实验,把玉米和小麦的叶子从植株上切下后,立即分别放在保持高温度、光照充足的容器内(保持生活状态),叶子的含水量,由于蒸腾而徐徐减少,然后,测定叶子在发生水分亏缺(相对值)情况下,相对光合作用强度,正确的图示是   

6,目前,家庭装饰已成为一种时尚。随着装饰材料进入百姓家庭,新装修居室中常会缓慢释放出来污染物,进而影响人体健康。这些污染物中最常见的是

A.CO和SO2             C.O3和Cl2

C.SO2和NO2            D.HCHO和C6H6及其同系物

试题详情

4.花斑紫茉莉的后代中有绿色植株、白色植株、花斑植株之分;花斑植株上又有绿色枝条、白色枝条、花斑枝条之分;这两种情形的形成原因都是由于细胞分裂时,细胞质不均等分配造成的。与之有关的细胞分裂方式是(   )

  A.都是减数分裂    B.都是有丝分裂

  C.前者是减数分裂和有丝分裂,后者只有有丝分裂

  D.前者只有有丝分裂,后者是减数分裂和有丝分裂

试题详情


同步练习册答案