题目列表(包括答案和解析)

 0  122974  122982  122988  122992  122998  123000  123004  123010  123012  123018  123024  123028  123030  123034  123040  123042  123048  123052  123054  123058  123060  123064  123066  123068  123069  123070  123072  123073  123074  123076  123078  123082  123084  123088  123090  123094  123100  123102  123108  123112  123114  123118  123124  123130  123132  123138  123142  123144  123150  123154  123160  123168  447348 

1.下图为处于不同分裂时期的某生物的细胞示意图,下列叙述正确的是

A.甲、乙、丙中都有同源染色体    B.卵巢中不可能同时出现这三种细胞

C.能够出现基因重组的是乙      D.丙的子细胞是精细胞

试题详情

32.[生物-现代生物技术专题](10分)

为扩大可耕地面积,增加粮食产量,黄河三角洲等盐碱地的开发利用备受关注。我国科学家应用耐盐基因培育出了耐盐水稻新品系。

(1)获得耐盐基因后,构建重组DNA分子所用的限制性内切酶作用于图中的     处,DNA连接酶作用于    处。(填“a”或“b”)

(2) 将重组DNA分子导入水稻受体细胞的常用方法有农杆菌转化法

         法。

(3)由导入目的基因的水稻细胞培养成植株需要

利用         技术。

(4)为了确定耐盐转基因水稻是否培育成功,既要用放射性同位素标记的      作探针进行分子杂交检测,又要用         方法从个体水平鉴定水稻植株的耐盐性。

试题详情

30.[化学选考-----物质结构与性质](13分)

目前,全世界镍的消费量仅次于铜、铝、铅、锌,居有色金属第五位。镍行业发展蕴藏着巨大潜力。(1)配合物Ni(CO)4常温下为液态,易溶于CCl4、苯等有机溶剂。固态Ni(CO)4属于    晶体;基态Ni原子的电子排布式为       

(2)配合物分子内的作用力有   (填编号)。

 

A.氢键    B.离子键    C.共价键   D.金属键   E.配位键

(3)很多不饱和有机物在Ni催化下可以与H2发生加成反应。如

     ①CH2=CH2、②CH≡CH、③      、④HCHO等,

其中分子属于平面结构的有     (填物质序号),

预测HCHO分子的立体结构为     形。

    (4)氢气是新型清洁能源,镧(La)和镍(Ni)的合金可做储氢材料。该合金的晶胞如右图所示,晶胞中心有一个镍原子,其他镍原子都在晶胞面上,镧原子都在晶胞顶点上。该晶体的化学式为       

试题详情

29.(物理--选修3-5)本题共有两小题,每小题6分,共12分。每小题给出的四个选项中,只有一项是符合题目要求的。

(1)如图所示是氢原子的能级图.若一群处于n=3激发态的氢原子跃迁到n=2激发态时发射出的是红光,则这群处于n=3激发态的氢原子发生跃迁还可能发射出    

     A.紫外线

     B.红外线

     C.β射线

     D.γ射线

(2)质量为2m的B球静止放于光滑水平面上,另一质量为m的A球以速度v与B球正碰,如图所示,若碰撞过程没有能量损失,则碰后A球的速度为

A.     B.

C.     D.

试题详情

28.

试题详情

27.(15分)下图是科学家对果蝇一条染色体上的基因测序结果,请看图回答问题:

(1)图中朱红眼与深红眼两个基因是________(供选:A.等位基因  B.非等位基因),遗传时二者之间是否遵循基因的分离定律和自由组合定律?________(供选:A.不遵循  B.遵循  C.只遵循分离定律  D.只遵循自由组合定律)。该染色体上的基因在后代中能否全部表达?_______________________,原因是______________________________。

(2)计算此染色体上的碱基数量,是否遵循A=T,C=G的原则?___________。原因是______________________________

(3)假定朱红眼的基因共有30个碱基对,则其控制合成的肽链中所含氨基酸数为____。

A.10个                              B.20个

C.少于10个                          D.多于20个

试题详情

26.(25分)回答下列Ⅰ、Ⅱ题:

.在科学研究中常用呼吸商(RQ=释放的二氧化碳体积/消耗的氧体积

) 表示生物用于有氧呼吸的能源物 质不同。测定发芽种子呼吸商的装置如下图.

                      2-28题图

关闭活塞,在25℃下经20分钟读出刻度管中着色液移动距离。设装置1和装置2的着色液分别向左移动x和y(mm)。x和y值反映了容器内气体体积的减少。 请回答:

 (1)装置1的小瓶中加入NaOH溶液的目的是           

(2)x代表    值,y代表    值。 

(3)若测得x=200mm,y=30(mm),则该发芽种子的呼吸商是           

 (4)若要测定已长出一片真叶幼苗的RQ值,则应将该装 置放于何种条件下进行,为什么?            

(5)为使测得x和y值更精确,还应再设置一对照装置。对照装置的容器和小瓶中应分别放入       。设 对照的目的是        

Ⅱ.为了验证某大豆品种的矮化特性与赤霉素的含量有关,请用所给的实验材料,完成下列实验步骤并回答下列问题:

实验材料:具2片真叶且长势相同的该品种大豆幼苗若干、完全培养液、蒸馏水、适宜浓度的赤霉素溶液,喷壶等。

(1)实验步骤:

①将上述大豆幼苗平均分成A、B两组,A组为对照组,B组为实验组,分别置于等量的完全培养液中培养。

②用喷壶分别将            喷洒在A、B两组幼苗上。

③将两组苗置于相同且适宜的温度和光照等条件下培养,一段时间后,测定两组植株的    

(2)预测实验结果:                     

(3)上述实验中,如果A、B两组各选用1株幼苗进行实验,是否影响实验结果的可靠性?为什么?

(4)该实验原理是:                                                    

                  

试题详情

25. (16分)应用化学反应需要研究化学反应的条件、限度和速率。

(1) 已知反应:Br2+2Fe2+=2Br+2Fe3+ ,向10 mL 0.1 mol·L-1的FeBr2溶液中通入0.001 mol Cl2,反应后,溶液中除含有Cl-外,还一定     (填序号)。

① 含Fe2+,不含Fe3+② 含Fe3+,不含Br-③ 含Fe3+,含有Br-

(2) 773 K、固定体积的容器中,反应CO(g)+2H2(g)CH3OH(g)过程中能量变化如下图。曲线Ⅱ表示使用催化剂时的能量变化。若投入a mol CO、2a mol H2,平衡时能生成0.1a mol CH3OH,反应就具工业应用价值。

① 若按上述投料比使该反应具有工业应用价值,CO的平衡转化率最小为   

② 在容器容积不变的前提下,欲提高H2的转化率,可采取的措施(答两项即可)                             

③ 下列与催化剂有关的说法中,正确的是     (填字母序号)。

a. 使用催化剂,使反应CO(g)+2H2(g)CH3OH(g)ΔH>-91 kJ·mol-1

b. 使用催化剂, 能够提高反应物转化率

c. 使用催化剂,不能改变反应的平衡常数K

(3) 高铁酸盐在能源环保领域有广泛用途。我国学者提出用镍(Ni)、铁作电极电解浓NaOH溶液制备高铁酸盐Na2FeO4的方案,装置如右图所示。

① Fe电极作极       (填“阴”或“阳”);

② Ni电极的电极反应式

为:             

(4) 氧化还原反应中实际上包含氧化和还原两个过程。下面是HNO3发生的一个还原过程的反应式:

NO-3+4H++3e→NO+2H2O

① KMnO4、Na2CO3、CuO、KI四种物质中的      (填化学式)能使上述还原过程发生。

试题详情

24. (16分)化学实验是研究物质性质的基础。

(1) 下列有关实验操作或测量数据合理的是    (填序号)。

a. 用铁坩埚加热CuSO4·5H2O晶体测定结晶水质量分数

b. 用干燥的pH试纸测定浓硫酸的pH

c. 用规格为20 mL的量筒,量取16.8 mL的Na2CO3溶液

(2) 某废水样品中含有一定量的Na+、CO32、SO32,甲、乙两研究小组欲测定其中SO32离子的浓度。

甲组方案:

试剂X从下列试剂中选择:

a. 0.1 mol·L-1KMnO4(H2SO4酸化)溶液b. 0.5 mol·L-1NaOH溶液

c. 新制氯水d. KI溶液

① 加入试剂X后生成SO42的离子方程式为            

② 甲组方案中,第ⅲ步的“系列操作”包含的操作名称为          

乙组方案:

ⅰ. 用烧杯盛取废水适量,加少量活性炭,除去废水的杂色;过滤,取滤液;

ⅱ. 精确量取20.00 mL过滤后废水试样,选择使用紫色的0.1 mol·L-1KMnO4(H2SO4酸化)溶液进行滴定;(有关反应为:2MnO4-+5SO32-+6H-=2Mn2++5SO42-+3H2O)

ⅲ. 记录数据,计算。

③ 乙组设计的下列滴定方式中,最合理的是      (夹持部分略去)(填字母序号)。

(3) 某同学制备Fe(OH)3胶体:用洁净的烧杯取适量蒸馏水加热至沸腾,向烧杯中滴加1 mol·L-1的FeCl3溶液,并不断用玻璃棒搅拌,结果溶液变浑浊。该同学制备胶体失败的原因是                ,你认为成功制得Fe(OH)3胶体的特征现象是                      

(4) 用下图装置进行CO2性质的有关实验。

① 试剂瓶B中盛有饱和NaHCO3溶液,其目的是   

② 反应过程中,E中澄清石灰水变浑浊,E中的混合体系中除存在电离平衡、水解平衡外,还存在溶解平衡,用方程式表示该溶解平衡关系              

试题详情

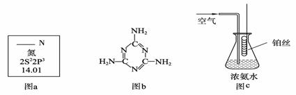
23. (14分)氮元素是生命活动、物质间转化的常见元素。

(1) 图a是元素周期表中N元素的有关信息,图a中横线上缺失的信息是     15N是N元素的一种重要核素,其一个原子核中含有的中子数为    

(2) “三鹿”奶粉中含有超标的三聚氰胺引起了人们对食品安全的极大关注。三聚氰胺的结构简式如上图b,根据你的了解,下列关于三聚氰胺的表述中,

正确的是      (填字母序号)。

a. 属于蛋白质b. 是氨基酸c. 是食品添加剂d. 和氨基酸含有相同种类的原子团e. 属于高分子化合物

(3) 如上图c装置,将灼热的铂丝伸入锥形瓶中,同时通过导管鼓入空气,发现在锥形瓶口有少量的红棕色气体生成。写出导致该现象的主要化学方程式:              

               

(4) 金属与不同浓度的硝酸反应时,往往生成多种不同价态的还原产物。图d是各种不同密度的硝酸与铁反应时(相同温度)还原产物的分布图。

① 某硝酸试剂瓶的标签注明:密度1.26 g·mL-1,质量分数 50.0%;若取该试剂10 mL配成1 000 mL溶液,所得溶液的pH=    

② 当硝酸溶液的密度为1.36 g·mL-1时,下列化学方程式中,能较准确表达Fe与过量硝酸反应的是     (填序号)

a. 2Fe+10HNO32=Fe(NO3)3+NO↑+3NO2↑+5H2O

b. 4Fe+18HNO3=4Fe(NO3)3+3NO↑+3NO2↑+9H2O

c. 2Fe+6HNO3=2Fe(NO3)2+NO↑+NO2↑+3H2O

试题详情


同步练习册答案