题目列表(包括答案和解析)

 0  123014  123022  123028  123032  123038  123040  123044  123050  123052  123058  123064  123068  123070  123074  123080  123082  123088  123092  123094  123098  123100  123104  123106  123108  123109  123110  123112  123113  123114  123116  123118  123122  123124  123128  123130  123134  123140  123142  123148  123152  123154  123158  123164  123170  123172  123178  123182  123184  123190  123194  123200  123208  447348 

13.如图,在注射器中加入少量Na2SO3晶体,并吸入少量浓硫酸(以不接触纸条为准)。则下列有关说法错误的是 

A.湿润淀粉KI试纸不变蓝色

B.品红试纸、沾有KMnO4溶液滤纸均褪色都能证明SO2的漂白性

C.NaOH溶液可用于除去实验中多余的SO2

D.蓝色石蕊试纸变红证明SO2的水溶液显酸性

试题详情

12.pH=3的盐酸与pH=11的氨水等体积混合,溶液中离子浓度关系正确的是

A.[NH4+]>[Cl-]>[H+]>[OH-]  B.[Cl-]>[NH4+]>[OH-]>[H+]

C.[Cl-]>[NH4+]>[H+]>[OH-]  D.[NH4+]>[Cl-]>[OH-]>[H+]

试题详情

11.化学用语是学习化学的重要工具。下列用来表示物质变化的化学用语中,正确的是

A.钢铁腐蚀时可能发生的正极反应:4OH--- 4e- = 2H2O + O2

B.表示H2 燃烧热的热化学方程式:2H2(g)+O2(g)=2H2O(g);

H=-483.6 kJ/mol

C.纯碱水解的离子方程式:CO32- + H2O   HCO3- + OH-

D.将少量SO2气体通入NaClO溶液中的离子方程式      

      SO2+2ClO+H2O=SO32+2HClO

试题详情

10.氯气溶于水达到平衡后,若其他条件不变,只改变某一条件,下列叙述正确的是

A.再通入少量氯气,c(H+)/c(ClO)减小

B.通入少量SO2,溶液漂白性增强

C.加入少量固体NaOH,一定有c(Na+)=c(Cl)+c(ClO)

D.加入少量碳酸钠粉末,次氯酸浓度增大

试题详情

9.阿伏加德罗常数约为6.02×1023 mol-1,下列叙述正确的是

A.室温下42.0 g乙烯和丙烯的混合气体中含有的碳原子数约为3×6.02×1023

B.25 ℃时,1 L  pH=13的NaOH溶液中约含有6.02×1023个氢氧根离子

C.标准状况下,2.24 L苯中约含有3.612×1023个碳原子

D.1.0 L 1.0 mol/L CH3COOH溶液中CH3COOH分子数为6.02×1023

试题详情

8.下列各组中的两种物质相互反应时,无论哪种过量,都可以用同一个离子方程式表示的是

  ①碳酸钠溶液与盐酸;  ②偏铝酸钠溶液与盐酸;  ③苯酚钠溶液和CO2;  ④硝酸银溶液和氨水; ⑤氯化铝溶液与氨水。

A.③⑤     B.①③  C.仅有⑤   D.②④

试题详情

7.给50mL某液体加热的操作中,以下仪器必须用到的是

①试管②烧杯③酒精灯④试管夹⑤石棉网⑥铁架台⑦泥三角⑧坩埚

A、②③⑤⑧   B. ③⑥⑦⑧   C. ②③⑤⑥  D. ①③④⑥

试题详情

6.我国神七载人航天飞船在2008年9月25日21时10分发射成功。“神舟七号”所用动力燃料之一为氢化锂三兄弟-LiH、LiD、LiT。其中Li的质量数为7,有关下列叙述中正确的是

A.三种物质质子数之为1:2:3      B.三种物质中子数之比为1:1:1

C.三种物质的摩尔质量之比为8:9:10  D.三种物质的化学性质不相同

试题详情

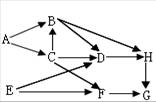
5.右图是一个陆生生态系统食物网的结构模式图,下列各项叙述中,不正确的是:

A. 此生态系统中的生产者不止一个。

B.从食物链A→C→B→D→H →G上,G获得的能量最少。

C.若C种群数量下降10%,H种群不会发生明显的变化。

D.既存在竞争关系又存在捕食关系的只有D与H.

试题详情

4.下列关于微生物的说法正确的是:

A.微生物产生的次级代谢产物有种的特异性,但不是自身生长繁殖所必需的。

B.组成酶的合成只受遗传物质的控制,诱导酶的合成只受环境的控制。

C.所有微生物都是只有核糖体一种细胞器,并只含一种核酸的微小生物。

D.能将N2固定为NH3的微生物是生态系统的消费者。

试题详情


同步练习册答案