题目列表(包括答案和解析)

 0  123824  123832  123838  123842  123848  123850  123854  123860  123862  123868  123874  123878  123880  123884  123890  123892  123898  123902  123904  123908  123910  123914  123916  123918  123919  123920  123922  123923  123924  123926  123928  123932  123934  123938  123940  123944  123950  123952  123958  123962  123964  123968  123974  123980  123982  123988  123992  123994  124000  124004  124010  124018  447348 

12.下列叙述中不正确的是

  A、Na、NaCl、SiO2的熔点逐渐升高w.w.^w.k.s.5*

  B、1 mol乙醛与足量新制的银氨溶液反应生成1 mol Ag

  C、一定条件下可将干冰转化或组成为“C02"的原子晶体,该晶体中每个碳原子与四个氧原子结合

  D、工业上通常用电解熔融MgCl2的方法冶炼Mg

试题详情

11. 在一定条件下,固定容积的密闭容器中发生反应2NO2(g) O2(g)+2NO(g);△H>0,达到平衡时,当改变其中一个条件X,Y随X的变化符合图中曲线的是

   A、当X表示温度时,Y表示NO2的物质的量

   B、当X表示压强时,Y表示该反应的正反应速率

   C、当X表示反应时间时,Y表示混合气体的密度

   D、当X表示NO2的物质的量时,Y表示O2的物质的量

试题详情

10.据最新报道,科学家发现了如下反应:O2+PtF6=O2(PtF6),已知O2(PtF6)为离子化合物,其中Pt为+5价,对于此反应,下列说法正确的是w.w.^w.k.s.5*

A、在此反应中,O2是氧化剂,PtF6是还原剂

B、O2(PtF6)中氧元素的化合价是+1价

C、O2(PtF6)中不存在共价键

D、在此反应中,每生成1mol O2(PtF6)则转移1mol电子

试题详情

9.下列各组离子在指定条件下,一定能大量共存的是

A、能使紫色石蕊试液显红色的溶液:K+、I、SO2- 4、Fe3+、Cl

B、能使淀粉碘化钾试纸变蓝的溶液:Na+、NH4+、S2、Br

C、c(H+)=1012 mol·L1的溶液:Ba2+、Na+、NO- 3、Cl

D、加入铝条会产生气体的溶液:Na+、NH4+、HCO3、NO- 3

试题详情

8.A、B、C、D是原子序数不超过20的四种元素,它们的最高正价依次为+1、+4、+6、+7,其核电荷数按B、C、D、A的次序增大;已知B原子的最外层电子数是次外层电子数的2倍,下列说法正确的是:

A、离子半径:B>C>A    B、B、C、D的氢化物的稳定性:B>D>C

C、B、C、D最高价氧化物对应水化物的酸性强弱:C>D>B

D、B与C形成的化合物是非极性分子w.w.^w.k.s.5*

试题详情

7.高铁酸钾(K2FeO4)已经被广泛应用在水处理方面,高铁酸钾的氧化性超过高锰酸钾,是一种集氧化、吸附、凝聚,杀菌的新型高效的多功能水处理剂,干燥的高铁酸钾在198℃以下是稳定的,受热易分解,高铁酸钾在水处理过程中涉及到的化学过程有:

①蛋白质的变性 ②蛋白质的盐析 ③胶体聚沉 ④盐类水解

⑤焰色反应 ⑥氧化还原反应

A、①②③④ B、①③④⑥ C、②③④⑤ D、②③⑤⑥

试题详情

6.下列叙述中不正确的是w.w.^w.k.s.5*

A、“水滴穿石”的原因之一是溶解了CO2的雨水与CaCO3长期作用,生成了可溶性的Ca(HCO3)2

B、长期存放NaOH溶液的瓶塞不易打开,是因为NaOH与玻璃中的SiO2反应,其产物将玻璃粘住

C、塑料袋全球“失宠”,有偿使用成为风尚,是因为塑料袋填埋占用土地,且难以降解

D、木糖醇(C5H12O5)是一种甜味剂,它属于多羟基化合物,与葡萄糖互为同系物

试题详情

5.下列关于人和动物细胞的叙述,正确的一组是 ①正常细胞癌变后在人体内将成为抗原,在体外可培养成细胞系 ②由胚胎中胚层细胞分化成红细胞的过程是可逆的 ③细胞内水分减少,代谢速度减慢是衰老细胞的主要特征之一 ④癌变是细胞原癌基因从激活状态转为抑制状态的过程 ⑤动物细胞膜表面的糖蛋白有特异性,是细胞间相互识别、联络用的语言或文字 ⑥癌细胞容易在体内转移与其细胞膜上糖蛋白等物质减少有关 A.①③⑤⑥   B.①②③⑤⑥    C.①②④⑤   D.②③④⑥

试题详情

4.有下列说法,这些说法完全正确的组合是

①将某精原细胞的DNA用15N标记后转入含14N的培养基中培养,若进行减数分裂形成四个精原细胞,则所有的DNA均含有15N  ②受精卵中的遗传物质一半来自父方,一半来自母方  ③用基因型为DdTt的植株进行单倍体育种,所育的种自交后代约有1/16为纯合体 ④细菌分裂生殖时,导致子代之间差异的可能原因是基因突变和染色体变异 ⑤生物个体发育过程是细胞内不同基因有序表达的过程w.w.^w.k.s.5*

A.①②④⑤    B.②③④⑤   C.①③⑤    D.①⑤

试题详情

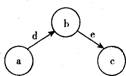
3.下图表示人体和人体细胞内某些信息传递机制的模式图,图中箭头表示信息传递的方向,下列有关叙述中,正确的是:

A.若 a表示DNA,b表示RNA,c表示蛋白质,则e过程发生在核糖体上w.w.^w.k.s.5*

B.若a表示感受器,b表示神经中枢,c表示效应器,则兴奋以局部电流形式由a传到c

C.若 a表示DNA,b表示RNA,c表示蛋白质,则d过程只

发生于细胞核中

D.若a为抗原,b为记忆细胞,则c为抗体

试题详情


同步练习册答案