题目列表(包括答案和解析)

 0  124035  124043  124049  124053  124059  124061  124065  124071  124073  124079  124085  124089  124091  124095  124101  124103  124109  124113  124115  124119  124121  124125  124127  124129  124130  124131  124133  124134  124135  124137  124139  124143  124145  124149  124151  124155  124161  124163  124169  124173  124175  124179  124185  124191  124193  124199  124203  124205  124211  124215  124221  124229  447348 

9.反应:X(g)+3Y(g) 2Z(g)  △H<0  ,在不同温度、不同压强(P1>P2)下,达到平衡时,混和气体中Z的百分含量随温度变化的曲线应为

A           B            C            D

试题详情

8.电视剧《西游记》中仙境美妙绝伦。这些神话仙境中所需的烟幕是用NH4NO3和Zn粉按质量比16:13混合放于温热的石棉网上,使用时滴水数滴即产生大量的白烟,又知发生反应后有氮气和水生成。有关的说k^s#5*u法中正确的是

A.成烟物质是锌的氧化物

B.每还原1molNO3-需氧化1molZn和2molNH4+

水起着溶解NH4NO3,发生吸热现象以启动反应的作用

D.成烟物质是小锌粒,它由NH4NO3反应放热而蒸出。

试题详情

7.用NA表示阿伏加德罗常数,下列说k^s#5*u法正确的是

①18g D2O含有的电子数为10NA;②1mol Na2O2与水完全反应时转移电子数为2NA ;③1molC10H22分子中共价键总数为31NA ;④在标准状况下,22.4LSO3的物质的量为1mol;⑤6.2g氧化钠和7.8g过氧化钠混合物中所含有的离子数约为0.6×6.02×1023

A.②④       B.③⑤        ①②③    D.①④⑤

试题详情

6.下列说k^s#5*u法正确的是

A.乙醇和汽油都是可再生能源,应大力推广“乙醇汽油”

B.凡含有食品添加剂的食物对人体健康均有害,不宜食用

C.废弃的塑料、金属、纸制品及玻璃都是可回收再利用的资源

D.钢铁在海水中比在河水中更易腐蚀,主要原因是海水含氧量高于河水

试题详情

5.下列关于转基因生物与环境安全的叙述错误的是

A.重组的微生物在降解污染物的过程中有可能产生二次污染

B.种植抗虫棉对环境没有负面影响

如果转基因花粉中有毒蛋白或过敏蛋白,有可能通过食物链进入人体

D.转基因生物所带来的环境安全问题是可以逐步解决的

试题详情

4.下列有关免疫内容的描述正确的是

A.淋巴因子与病原体结合,抑制病原体的繁殖

B.由记忆细胞分化而来的效应T细胞能使靶细胞裂解

T细胞能识别再次进入机体的同种抗原,免疫能力增强

D.当机体胸腺受损,细胞免疫丧失,体液免疫不受影响

试题详情

3.下图是测定叶片光合作用强度装置示意图(通过该测定仪的CO2量可忽略不计),叶室为透明玻璃制成。在适宜进行光合作用的环境中,测定叶室内CO2减少值为P,若该时段叶室内叶片呼吸作用时CO2释放量为Q,则该叶片通过光合作用固定CO2的量(W)应表示为

A.W=P+Q  B.W=Q-P   W=P   D.W=P-Q

试题详情

2.下图表示人体内的部分物质代谢(其中物质E和F分别代表两种无机物)。下列有关叙述正确的是A.人体细胞可以发生以上图解中的所有过程

B.⑾过程发生在线粒体中,物质E和F都是内环境的组成物质

调节①②③④⑥等过程的相关激素协同作用使血糖含量维持相对稳定

D.对一个体重相对稳定,食物中糖类比例适宜的成年人来说k^s#5*u不会发生⑾⑿过程

试题详情

1.减数分裂中发生的染色体交叉互换,也可以发生在某些生物体的有丝分裂中,这种现象称为有丝分裂交换。下图是某高k^s#5*u等动物一个表皮细胞发生有丝分裂交换的示意图。下列说k^s#5*u法不正确的是

A.该细胞在发生有丝分裂交换后,产生4种基因型的子代表皮细胞

B.若不考虑该生物在产生配子时发生的交换,那么该生物产生的配子有2种基因型

若上面是该生物的精原细胞在产生精细胞时发生减数分裂交换后的结果,由它产生的配子类型有4种

D.若细胞在减数分裂和有丝分裂中都发生交换,减数分裂对于遗传多样性的贡献较大

试题详情

(二)选考题:共45分。请考生从给出的3道物理题、3道化学题、2道生物题中每科任选一题作答,并用2B铅笔在答题卡上把所选题目的题号涂黑。注意所做题目的题号必须与所涂题目的题号一致,在答题卡选答区域指定位置答题。如果多做,则每学科按所做的第一题计分。

33.[物理--选修3-3] (15分)

(1) (5分)以下说法中正确的是

     A.热现象的微观理论认为,各个分子的运动都是无规则的、带有偶然性的,但大量分子的运动却有一定的规律

     B.从微观角度看,气体压强的大小跟两个因素有关:一个是气体分子的最大速率,一个是分子的数目

     C.同种物质可能以晶体和非晶体两种不同的形态出现,如金刚石是晶体,石墨是非晶体,但组成它们的微粒均是碳原子

     D.一定温度下,饱和汽的分子数密度是一定的,因而饱和汽的压强也是一定的

     E.物体吸收热量同时对外做功,内能一定不变

(2) (10分)如图所示,在水平面上固定一个气缸,缸内由质量为的活塞封闭一定质量的理想气体,活塞与缸壁间无摩擦且无漏气,活塞到气缸底距离为,今有一质量也为的重物自活塞上方高处自由下落到活塞上并立即以碰前速度的与活塞一起向下运动,向下运动过程中活塞可达到的最大速度为,求从活塞开始向下移动到达到最大速度的过程中活塞对封闭气体做的功。(被封闭气体温度不变,外界大气压强为)

34.[物理--选修3-4] (15分)

(1) (5分)以下有关振动、波动和相对论内容的若干叙述中正确的是

     A.在“用单摆测定重力加速度”实验中,必须从最大位移处开始计时

     B.光速不变原理是:真空中的光速在不同的惯性参考系中都是相同的

     C.两列波相叠加产生干涉现象,振动加强区域与减弱区域应交替变化

     D.光的偏振现象说明光波是横波

     E.用绿光做双缝干涉实验,在光屏上呈现出明、暗相间的条纹,相邻两条绿条纹间的距离为,如果增大双缝到光屏之间的距离,将减小

(2) (10分)如图所示,一束截面为圆形(半径R=1m)的平行紫光垂直射向一半径也为R的玻璃半球的平面,经折射后在屏幕S上形成一个圆形亮区。屏幕S至球心距离为,不考虑光的干涉和衍射,试问:

     ①若玻璃半球对紫色光的折射率为,请你求出圆形亮区的半径。

     ②若将题干中紫光改为白光,在屏幕S上形成的圆形亮区的边缘是什么颜色?

35.[物理--选修3-5] (15分)

(1) (5分)下列说法中正确的是

     A.原子的核式结构模型很好地解释了氢原子光谱的实验

     B.光电效应实验揭示了光的粒子性

     C.某原子的核经过一次衰变后,核内质子数减小4个

     D.重核的裂变过程质量增大,轻核的聚变过程有质量亏损

     E.电子的衍射实验证实了物质波的假设是正确的

(2) (10分)如图所示,一对杂技演员(都视为质点)荡秋千时从A点(秋千绳OA处于水平位置)由静止出发绕悬点O下摆,当摆到最低点B时,男女演员在极短时间内互相将对方沿水平方向推出,两人向相反方向做平抛运动,并能安全落至地面。若女演员的落地点刚好在初始位置A点的正下方,且已知男演员质量是女演员质量的2倍,秋千的质量不计,秋千的绳长为R,O点距地面高度为5R,不计空气阻力。求男演员落地点C与O点的水平距离。

36.[化学-选修化学与技术] (15分)

H2O2的水溶液是一种常用的杀菌剂。

(1) H2O2旧的工业制法是以Pt为阳极、石墨为阴极电解硫酸氢铵溶液,再将电解产物水解。化学方程式为:。写出电解硫酸氢铵溶液的阴极和阳极反应工。

阴极:                                       

阳极:                                       

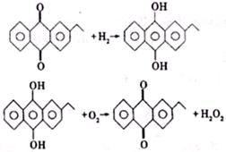
(2)H2O2新的工业制法是先将乙基蒽醌加氢还原,再将中间产物去氢氧化即得H2O2,反应方程式为

乙基蒽醌在此变化过程中的作用以及与旧的工业制法相比新工业制法的优点是       

                                         

                                        

(3)H2O2的实验室制法之一是将过氧化钡加入到稀硫酸中,该反应的化学方程式为     

                                        

(4)写出一种定量测定H2O2水溶液中H2O2含量的化学方程式

                                        

(5)写出符合(4)反应原理的简要实验步骤

                                        

                                         

                                        

                                        

37.[化学-选修物质结构与性质] (15分)

     Q、R、X、Y、Z为周期表前四周期元素,原子序数依次递增。已知:

     ①Q为周期表中原子半径最小的元素;

     ②R的基态原子中电子占据三种能量不同的原子轨道,且每种轨道中的电子总数相同; ③Y的基态原子的核外成对电子数是未成对电子数的3倍;

     ④Q、R、Y三种元素组成的一种化合物M是新装修居室中常含有的一种有害气体,Q、R两种元素组成的原子个数比为1:1的化合物N是中学化学中常见的有机溶剂;

     ⑤Z有“生物金属”之称,Z4+离子和氩原子的核外电子排布相同。

     请回答下列问题:(答题时,Q、R、X、Y、Z用所对应的元素符号表示)

     (1)化合物M的空间构型为      ,其中心原子采取      杂化;化合物N的固态时的晶体类型为     

     (2)R、X、Y三种元素的第一电离能由小到大的顺序为     

     (3)由上述一种或多种元素组成的与RY2互为等电子体的分子为      (写分子式)。

     (4)由R、X、Y三种元素所组成的RXY离子在酸性条件下可与NaClO反应,生成X2、RY2等物质。上述反应的离子方程式为              

     (5)Z原子基态时的外围电子排布式为         ,Z的一种含氧酸钡盐的晶胞结构如右图所示,晶体内与每个“Z”原子等距离且最近的氧原子数为        

38.[化学-选修有机化学基础] (15分)

     中药莲花清瘟胶囊是治疗甲型H1N1流感的有效药物,连翘是其主要成分之一,芳香族化合物X是合成连翘的有效成分连翘酯苷的中间体。

     已知:

     ①X的相对分子质量180,碳的质量分数为60%,氢为4.45%,其余为氧;

     ②1mol X最多能与3mol NaOH反应,且X能与NaHCO3反应产生CO2气体;

     ③X遇FeCl3发生显色反应;

     ④经红外光谱分析X分子中含有碳碳双键。

     请回答下列问题:

     (1)X的分子式为       ,X中含有的官能团的结构简式为      

     (2)X可发生的反应有      

     A.取代反应      B.加聚反应      C.水解反应      D.银镜反应      E.酯化反应

     (3)X分子中苯环上两个相同的取代基相邻,与另一种取代基不相邻,核磁共振氢谱表明有8种氢原子,则其结构简式为                     

     (4)X与足量的浓溴水反应的化学方程式为                

     (5)有机物Y与X互为同分异构体,请写出符合下列条件的Y结构简式      

     ①Y的苯环上有三个互不相邻的取代基,遇FeCl3不发生显色反应,不与NaHCO3反应,但能与Na反应生成H2

     ②1mol Y最多能与4mol Ag(NH3)2OH发生银镜反应;

     ③在一定条件下,1mol Y最多与2mol NaOH反应。

39.[生物-选修1生物技术实践] (15分)为验证某种中药牙膏是否像其广告宣传的一样具有较强的抑菌功效,老师带领生物兴趣小组的同学设计了如下实验(实验过程符合无菌操作要求):

     ①用无菌水漱口,向漱口液中加入适量的该中药牙膏;

     ②配制牛肉膏蛋白胨固体培养基;

     ③将上述样品接种到培养基上,在适宜条件下进行培养;

     ④一段时间后,对培养结果进行观察并进行菌落计数。

     请分析上述实验过程并回答下列问题:

(1)制备牛肉膏蛋白胨固体培养基的一般步骤是:计算、称量、      、灭菌、    

    ;培养基中牛肉膏的作用主要是为微生物生长提供               等营养物质;培养基灭菌常用的方法是              

(2)如何证明所用培养基已经彻底灭菌?

                                                         

(3)本实验样品接种时最好采用       方法。培养一段时间后,培养基表面长出菌落,每一个标准菌落来源于样品中的       

(4)请指出本实验设计中的一个明显的错误,并加以改正。

                                  

(5)微生物并非都是对人休有害的,例如:醋酸菌可用业              常用于生产酸奶。

(6)食品安全检测时通常采用大肠杆菌作为致病微生物的指示菌,为测定哪些菌落属于大肠杆菌,可选用       培养基对种菌落进行鉴定,大肠杆菌的菌落在该培养基上呈现

       色。

40.[生物-选修3现代生物科技专题] (15分)干扰素常用于治疗病毒感染引起的疾病,现在可以通过基因工程大量获得。请回答相关问题。

(1)已知干扰素的氨基酸序列,则获取目的基因的较简单方法是       ,目的基因还可以从cDNA文库获取,但cDNA文库只含某种生物的部分基因,原因是         

(2)基因表达载体除含有干扰素基因外,还必须有                  

         等。

(3)如果受体细胞为受精卵,则此过程还涉及到动物细胞培养技术,动物细胞培养的条件包括       、营养、       、气体环境,提供气体中CO2的主要作用是  

     

(4)转基因技术是否成功,需要对受体细胞进行分子水平的检测,首先是检测受体细胞  

     上是否插入目的基因,这是目的基因能否在真核生物中稳定遗传的头键,检测的方法是       。最后还要检测目的基因是否翻译成了相应蛋白质,利用的技术是       

东北三省三校第二次模拟物理试题答案:纠正后

14.AB  15. AD  16.A   17.CD  18.B  19.ACD  20.C   21.AD 

22.BD(4分)

23.①B(2分)高.考.资*源-网

(2分) 

v2-2h(1分)  重物下落至某一位置速度的平方(1分) 从计时起重物下落的高度的2倍(1分)   ④  (2分)高.考.资*源-网

(2分)

24.(1)设杆OAOB与水平方向夹角为αβ,由几何关系:dL1cosα+L2cosβ(1分)

得出AO杆与水平方向夹角α=53°   (1分)

由牛顿第二定律得mgsinθfma   (1分)

f=μN  N=μmgcosθ  (1分 ) 高.考.资*源-网

AO段运动的加速度:a1gsin53°-μgcos53°=3.2 m/s2,方向沿AO杆向下。(2分)

OB段运动的加速度:a2gsin37°-μgcos37°=-0.4 m/s2,方向沿BO杆向上。(2分)

(2)对全过程由动能定理得 mghμmgL1cosαμmgL2cosβ-0(2分)

其中dL1cosα+L2cosβv ≤6 m/s(1分)

所以:≤ 10.6m(1分)

又因为若两杆伸直,AB间的竖直高度为

  (1分)

所以AB最大竖直距离应为10.2m。(1分)

25. 解:(1)设金属棒稳定时速度为v1,有高.考.资*源-网

(1分)

 (1分)

(1分)

  (1分)    解得v1=6m/s(1分)

 (2)由第一问得方程可得,当金属棒速度稳定时,有

 

解得:F′=2N(1分)

P = Fv2

   =3W   (1分)

设电压表的读数为U ,则有

(1分)高.考.资*源-网

 (1分)

   (1分)

 (1分)

 解得(1分)

(3)设小灯泡和金属棒产生的热量分别为,有

,解得(2分)

由功能关系得:  (2分) 

(1分)

解得:(1分)

33.[物理--选修3-3](15分)

(1)(5分)AD

(2)重物自由下落:(1分)

碰后速度为(1分)

以封闭气体为对象,有p1SL0= p2S(L0L)(2分)

初态对活塞:p1S-mg-p0S=0(1分)

最大速度对活塞与重物:p2S -p0S-2mg=0(1分)

对活塞和重物为对象,由动能定理,从碰撞后到最大速度,有:

(2分)

解得:(1分)

所以:活塞对气体做功为(1分)

34.[物理--选修3-4](15分)

(1)(5分)BD

(2)解:①如图,紫光刚要发生全反射时的临界光线射在屏幕S上的点EE点到亮区中心G的距离r就是所求最大半径。设紫光临界角为C,由全反射的知识:   (2分) 

由几何知识可知:   

   (1分)

  (1分)

    (1分)

  (1分)

所以有: =1m  (2分)

(其它几何关系解法,只要正确参考上述步骤给分)

②紫色。(2分)

35.[物理--选修3-5]

(1)(5分) BE

(2) 设男演员质量为m1,女演员质量为m2,

从开始到最低点分离前: (2分)

分离过程动量守恒,向右为正:(2分)

分离后,对男演员,有:(2分)

分离后,对女演员,有:(2分)

由以上各式,解得(2分)高.考.资*源-网

试题详情


同步练习册答案