题目列表(包括答案和解析)

 0  124054  124062  124068  124072  124078  124080  124084  124090  124092  124098  124104  124108  124110  124114  124120  124122  124128  124132  124134  124138  124140  124144  124146  124148  124149  124150  124152  124153  124154  124156  124158  124162  124164  124168  124170  124174  124180  124182  124188  124192  124194  124198  124204  124210  124212  124218  124222  124224  124230  124234  124240  124248  447348 

7.(18分)下图甲为光合作用的实验,乙为黑藻,图丙表示植

物细胞与外界环境间、叶绿体与线粒体间气体交换,图丁表示光强

度与光合作用速率的关系。请据图回答:

(I)图丙中光反应发生[ ]_____中。

(2)如图甲所示,该实验的因变量是_______。

   (3)黑藻的叶肉细胞处于丙图状态时,对应图丁曲线中_________。

  

   (5)将黑藻放在特定实验装置内,研究温度对光合作用与呼吸作用的影响(其余的实验条件都是理想的),实验以二氧化碳的吸收量与释放量为指标。实验结果如下表所示:

“若在昼夜不停的关照下,则该植物的最适宜温度是--,在35℃时,该植

物每小时实际光合作用速率为--。(用C02~)

   I,(8分)某同学利用暑假放假时间来到农村参加社会实践,

在参与大豆田间管理的过程中,除感受到“粒粒皆辛苦”外,还尝试

 着将生物学的相关知识用到实践中。请帮他完成以下内容。

(1)如果他想估算一下自家大豆的植株数量,利用所学的知识他应该__________---

 (2)该农田中有一种从外地_带来的昆虫,该昆虫终将呈s型增长。原因是

_______________________。

(3)大豆与根瘤菌的关系是  _____________________

(4)若人长期不种这块地,将会发生群落演替。自然状况下,发生的演替将使该生态系统的自我调节能力________________。

Ⅱ·(8分)下图表示遗传信息在生物大分子间的传递规律。

A~C为物质,①一⑤为过程。

   (1)④-⑤过程中,在造血干细胞和神经细胞中

都能发生的是_________(数字)。

(2)在洋葱根尖分生区细胞中进行①过程 

的场所有_______________________.

  (3)在化学成分上物质B与物质A的主 要区别是物质B含有_________.

   (4)若物质C由M个氨基酸构成,含有N条肽

链,则该物质完全水解共需水分子个数为________.

Ⅲ..(10分)冬季寒潮过后,紫云英的部分叶片会变红。为了探究紫云英叶片变红的原因,某校的同学们讲行了如下实验探究。

实验假设:紫云英叶片变红与叶片的叶绿体中胡萝卜素含量增加有关。’

实验材料:略  

实验步骤:①在同一紫云英植株上取叶龄相同的正常绿叶和红叶各若干片。各称取5克叶片剪碎后放入A、B两个研钵中。②分别向A.B两个研钵中加入适量二氧化硅和碳化钙,再加入适量无水酒精,进行迅速研磨、过滤、收集滤液。③用纸层析法分离滤液中色素,得到两组滤纸条。④观察、比较、分析两组滤纸条上的色素带。请回答:

(1)步骤滤液中色素依据的实验原理是:叶绿体中的色素在层析液中

的______不同,随层析液在滤纸条上扩散速度不同,从而将它们分离开。

(2)根据实验假设:.应着重观察和比较两组滤纸条从上到下的第_____________条色素带。

(3)实验预期和结论:红叶组和绿叶组相比,若红叶组重观察的那条色素带颜色_______则假设成立;否则,假设不成立。 

    (4)实验中有一位同学:,两组滤纸条上的色素带都不明显且界限不清晰。从实验操作来看,你认为可能的原因之一是: __________

(5)本次探究,几乎所有同学都证明了上述假设不成立,那么,根据你掌握的细

胞学知识,你认为紫云英叶片变红最可能的原因与叶片细胞内______中色素有关。

试题详情

5.从和aa杂交所产生的FI,通过连续自交得到Fn,则在此过程甲

  A.AA和aa的亲本不含等位基因,杂交结果不符合分离定律

B.此过程共发生了n次等位基因的分离

C.后代基因型比例保持不变

  D。A和a的基因型比例保持不变

6高致病性禽流感病毒H5N1侵入人体后可发生下图免疫反应(A.B为有关的

物质),下列各种分析正确的是

A.禽流感病毒H5Nl侵入机体后,T细胞的细胞周期可能会变短 

B.效应T细胞与靶细胞密切接触依赖B物质,B物质的化学本质是脂质

C.T细胞成熟于骨髓,它可分化成记忆细胞和效应T细胞

D.A物质为抗体,最终将禽流感病毒H5N1清除

试题详情

4.下图是分泌细胞分泌的某种物质与靶细胞结合的示意图。相光叙述合理的是

   分泌细胞产生泌物体液传送-靶细胞

A.分泌细胞产生的分泌物与靶细胞相互结合的原因是因为靶细胞膜上有载俸蛋白

。B.如果分泌细胞为甲状腺细胞,那么靶细胞可能为垂体细胞

C.如果分泌细胞是T细胞,那么此时的靶细胞不可能是B细胞

D.如果分泌细胞产生的分泌物为胰高血糖素,则靶细胞可以为肌肉细胞。

试题详情

3. 关于“克隆羊”、“试管羊”、“转基因羊”的说法合理的是(   )。

A .在培育过程中,都用到了动物细胞培养技术、核移植技术、胚胎移植技术

B.它们的遗传物质都只来自一个亲体

C .它们是通过相同的生殖方式获得的

D.它们在形成过程中,一般都有卵细胞参与

试题详情

2. 图中①-④表示的是生物体内4种有机分子的结构。其中①和④仅存在于植物

细胞中。有关说法正确的是

A. ①一④存在于所有植物细胞   B.②中含有密码子

C.细胞中没有①就不能产生③   D.③是细胞生命活动的直接能源物质

试题详情

1.下列关于生物专一性的叙述不正确的一组是

①酶具有专一性,一种酶只能催化一种或一类化学反应

②基因工程操作中的载体具有专一性.一种载体只能运载一种特定的目的基因

③tRNA具有专一性,一种tRNA只能运载一种特定的氨基酸

④碱基互补配对具有专一性,与腺嘌呤配对的只能是胸腺嘧啶

⑤抗体具有专一性,一种抗体只能与一种相应的抗原结合

 

试题详情

8.Ⅰ(10分)将体重、健康状况等方面均相同的同种实验动物平均分为三组。把含有放射性碘的注射液注射到①、②、③三组动物的体内,然后定时测定实验动物甲状腺的放射量。4 d后,向①组注射无放射性的激素C,向②组注射无放射性的激素B,向③组注射生理盐水,实验结果如图甲所示。图乙表示与之相关的细胞、激素。请据图回答问题。

(1)实验开始一段时间,甲状腺的放射量增高,这是因为甲状腺能聚集身体中的碘用于        的合成。而后甲状腺的放射量逐渐降低,这是因为       

                                    

(2)第二次注射后,三组动物甲状腺放射量下降的速率各不相同。②组甲状腺放射量下降最快的原因是                              ;①组甲状腺放射量未明显下降的原因是                       

          

(3)甲状腺细胞是激素B的靶细胞,其      上有能与激素B结合的受体。

Ⅱ(18分)某研究小组开展了一系列探究活动,请回答下列问题。

(1)许多土壤中的动物有较强的活动能力,且身体微小,所以进行土壤中小动物类群丰富度的调查常采用取样器取样的方法,而不采用     法或        法进行调查。

(2)土壤动物具有趋暗、趋湿、避高温的习性,为了探究土壤小动物类群丰富度,小组同学设计了右图所示装置,从选取的土样中收集小动物。这一装置不够完善,请你帮助该小组的同学们完善该装置                    

(3)通过对四种不同植被类型的土壤中小动物类群的丰富度的研究,绘制曲线如图。一般来说,土壤有机物含量越多,土壤动物的种类和数量也越多。分析图中曲线可知,四种植被类型中土壤有机物含量最低的是      

(4)蚯蚓作为一种重要的土壤动物,在促进物质循环和增加土壤肥力等方面起着积极作用。蚯蚓粪中含有丰富的N、P等养分,如氮元素被植物体吸收后,可参与多种物质和结构的合成,其中包括       (多选)。

A.核酸      B.ATP      C.纤维素      D.细胞膜

(5)小组成员用蚯蚓粪提取液、原土(蚯蚓生活环境的土壤)提取液、全营养液、不同浓度生长素(IAA)溶液和蒸馏水分别处理绿豆插条,结果如下表。

       组别
 
实验结果
1
2
3
4
5
6
蚯蚓粪提取液
原土
提取液
全营
养液
85µmol/L
IAA
170µmol/L
IAA
蒸馏水
每株插条平均根数
5.29
3.72
3.82
5.44
6.02
3.17
每株插条平均根长(mm)
37
12
17
29
24
14

①生长素主要的合成部位是幼嫩的芽、叶和发育中的种子,在这些部位,     

经过一系列反应转变成生长素。

②原土提取液中有无生长素?   。得出该结论的依据是         

                                       

③1、4、5三组实验结果说明                       

2010年南开区高考模拟一

试题详情

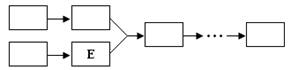
7.(16分)有性生殖的生物产生后代需进行受精作用,植物体细胞杂交要进行原生质体的融合,单克隆抗体的制备需进行动物细胞融合。下图为细胞融合的简略过程,请回答问题。

(1)若a、b表示两种植物体细胞,则杂种细胞d会再生出      ,分裂形成愈伤组织并逐步发育成杂种植株。这项技术克服了                

(2)若a、b分别为B淋巴细胞和骨髓瘤细胞,则经融合并筛选得到的d细胞的特点是                 ,由d细胞产生的抗体与普通血清抗体相比,具有            的特点。下列是单克隆抗体制备过程的部分图解,请把代表各步骤的字母填写在流程示意图中。

(3)若a、b分别为体外受精的卵母细胞和精子,则受精前要对b进行     处理。经过早期培养,移植前可对胚胎进行性别鉴定。在良种奶牛的选育中,如果用SRY基因(Y染色体上能决定睾丸形成)的核酸探针与被测胚胎提取的细胞DNA扩增产物进行分子杂交,植入受体母牛子宫的胚胎应选择      (能/不能)杂交的;SRY探针与SRY分子杂交的原理是              

试题详情

6.将某种植物置于CO2浓度较高的环境中,温度分别保持在5℃、15℃、25℃和35℃下,变化光照强度,测定该条件下CO2的吸收速率,得到图甲所示的结果。在图甲基础上,可得出不同温度下X的值,如图乙所示。整个实验中,植物光合作用所需的水分充足,且各温度下相应的呼吸速率不变。下列分析正确的是

 

 A.图乙中的X是不同温度下该植物的呼吸作用速率

  B.光照强度小于1时,该植物的呼吸速率大于光合速率

C.光照强度为4时,最有利于该植物积累有机物的温度是25℃

D.光照强度小于4时,光合作用的限制因素包括光照强度、温度

第Ⅱ卷

试题详情

5.已知果蝇红眼(A)和白眼(a)由位于X染色体上Ⅰ区段(与Y染色体非同源区段)上的一对等位基因控制,而果蝇刚毛(B)和截毛(b)由X和Y染色体上Ⅱ区段(同源区段)上一对等位基因控制,且突变型都是隐性性状。下列分析正确的是

A.若纯种野生型雌果蝇与突变型雄果蝇杂交,则F1中会出现截毛

B.若纯种野生型雌果蝇与突变型雄果蝇杂交,则Fl中会出现白眼

C.若纯种野生型雄果蝇与突变型雌果蝇杂交,则F1中不会出现截毛

D.若纯种野生型雄果蝇与突变型雌果蝇杂交,则F1中不会出现白眼

试题详情


同步练习册答案