题目列表(包括答案和解析)

 0  124267  124275  124281  124285  124291  124293  124297  124303  124305  124311  124317  124321  124323  124327  124333  124335  124341  124345  124347  124351  124353  124357  124359  124361  124362  124363  124365  124366  124367  124369  124371  124375  124377  124381  124383  124387  124393  124395  124401  124405  124407  124411  124417  124423  124425  124431  124435  124437  124443  124447  124453  124461  447348 

34.(1)(5分)在光滑水平面上,动能为E0、动量的大小为p0的小钢球1与静止小钢球2发生碰撞,碰撞前后球1的运动方向相反,将碰撞后球1的动能和动量的大小分别记为E1、p1,球2的动能和动量的大小分别记为E2、p2,必有

A.E1<E0   B.p1<p0   C.E2>E0   D.p2>p0

(2) (10分)静止在匀强磁场中的核俘获一个速度为v0=7.7×104m/s的中子发生核反应。若已知的速度为,其方向与反应前中子的速度方向相同。求(1)求出轨道半径之比。(2)当粒子旋转3周时,粒子旋转几周?

试题详情

33.(1)(5分)在同一地点有两个静止的声源,发出声波1和声波2。在同一空间的空气中沿同一方向传播,如图所示为某时刻这两列波的图像,则下列说法中正确的是:

A. 波1速度比波2速度大

B. 相对于同一障碍物,波1比波2更容易发生衍射现象

C. 在这两列波传播的方向上,不会产生稳定的干涉现象

D. 在这两列波传播的方向上运动的观察者,听到的这两列波的频率可以相同

(2)(10分)用波长为0.51µm的绿光在空气中经双缝在屏上得到干涉条纹,测得相邻两明条纹间距为0.55mm,在水中用红光做上述实验,测得相邻两明条纹间距也为0.55mm,如水的折射率为4/3.求此红光的频率。

选做3-5

试题详情

32.(11分)根据人体免疫的相关概念图回答问题:

 (1)人体内的免疫细胞来源于骨髓中的造

血干细胞,由造血干细胞分化而成的各种免

疫细胞形态和功能不同,根本原因是  

 (2)既能参与非特异性免疫,又能参与特异性免疫的是[   ]       

 (3)概念图内以下细胞中,具有分化能力的是      

A.记忆细胞  B. b   C.c   D.d

 (4)形成[c]     (写出c细胞名称)的途径有:

    ①                                  

                                  

                                   

选做3-4

试题详情

31.(12分)棉花的纤维有白色的,也有紫色的;植株有抗虫的,也有不抗虫的。为鉴别有关性状的显隐性关系,有人做了以下两组杂交试验,结果如下表。(假定控制两对性状的基因独立遗传;颜色和抗虫与否的基因可分别用A、a和B、b表示),请分析回答:

组合
序号
杂 交 组 合
子代的表现型和植株数目
紫色不抗虫
紫色抗虫
白色不抗虫
白色抗虫
1
白色不抗虫(甲)×紫色不抗虫
753
251
762
248
2
白色不抗虫(乙)×紫色抗虫
0
0
1508
1529

(1)上述两对性状中,          是显性性状。

(2)杂交组合1的子代中出现白色不抗虫和紫色抗虫植株的原因是        

(3)杂交组合1的子代中白色不抗虫植株的基因型是            

(4)若要利用亲本中的棉花品种获得可稳定遗传的白色抗虫棉,最简便的方法是    

        

(5)已知题中所给杂交组合1、2的亲本中A的基因频率为40%,若它们的子一代中所有个体全部存活无一被淘汰,则子一代群体中a的基因频率是     

试题详情

30.(9分)某同学按下表所示制成临时装片进行有关实验。

组别
材料
实验条件
观察内容
A
浸泡过的花生种子
清水、苏丹Ⅲ染液、50%酒精
细胞中着色的小颗粒
B
人的口腔上皮细胞
X染液
线粒体
C
菠菜叶
清水
叶绿体
D
紫色洋葱鳞片叶外表皮
0.3g/mL;蔗糖溶液
质壁分离

将上述各组实验材料按表中实验条件进行相关处理后,制成临时装片,放在显微镜下观察。分析回答:

(1)上述实验中需要的材料用具除显微镜外,还需刀片、镊子、滴管、吸水纸、   。

(2)A组实验的目的是    ,50%酒精的作用是    

(3)B组实验的X染液是       ,显微镜下看到的线粒体呈     色。

(4)在C组实验中,要选取菠菜叶稍带些叶肉的下表皮,原因是        

(5)D组实验中,选用紫色洋葱鳞片叶的原因是      

试题详情

29.(7分)外来物种入侵,会对当地群落结构和生物多样性发生影响。某课外探究小组的同学在路边的一块荒地中,对某种入侵植物和几种本地植物的种群密度进行了连续五年的调查,调查的结果如表所示(单位:株/m2)。

请分析回答下列问题:

(1)在所调查的A-E五种植物中,你认为入侵物种最可能是      ,请在坐标图中绘出该物种的种群密度变化曲线。

(2)如果要全面了解调查该地块的物种多样性(微生物除外),除要调查地面上的植物、动物种类以外,还应进行       调查,进行这项工作时对获得的动物可存放在体积分数为70%(或75%)的酒精溶液中。接下来对采集到收集瓶中的小动物还应做的工作是       和统计工作。

(3)土壤动物具有趋暗、趋湿、避高温的习性,为了探究该弃耕农田土壤小动物类群丰富度,某研究性学习小组设计了右图所示装置,从选取的样土中收集小动物,他们这一装置不够完善,请你帮助该小组的同学们完善该装置          

试题详情

28.(15分)三氧化二铁和氧化亚铜都是红色粉末,常用作颜料。某校一化学实验小组通过实验来探究某红色粉末是Fe2O3、Cu2O或二者的混合物。探究过程如下:

查阅资料:Cu2O溶于稀硫酸生成Cu和CuSO4,在空气中加热生成CuO。

提出假设:假设l:红色粉末是Fe2O3;  假设2:红色粉末是Cu2O

假设3:红色粉末是Fe2O3和Cu2O的混合物

设计探究实验:取少量粉末放入足量稀硫酸中,在所得溶液中滴加KSCN试剂。

(1)若假设1成立,则加入KSCN试剂后的现象为        

(2)若假设2成立,则此过程中的实验现象是                 

(3)若固体粉末放入足量稀硫酸中,经充分反应后,最终固体全部溶解,滴加KSCN试剂时,溶液不变红色,则证明假设    (填数字)成立,在此过程中发生的反应除

Cu2O+2H+=Cu+Cu2++H2O以外,其余反应的离子方程式为             

(4)经实验分析,确定红色粉末为Fe2O3和Cu2O的混合物。实验小组欲用加热法测定Cu2O

的质量分数。取ag固体粉末在空气中充分加热,待质量不再变化时,称其质量为bg(b>a),则混合物中Cu2O的质量分数为        

试题详情

27.(14分)常温下,将某一元酸HA和NaOH溶液等体积混合,两种溶液的浓度和混合后所得溶液的pH如下表:

实验编号
HA物质的量
浓度(mol·L-1)
NaOH物质的量
浓度(mol·L-1)
混合溶液的pH

0.2
0.2
pH=a

C1
0.2
pH=7

0.2
0.1
pH>7

0.1
0.1
pH=9

请回答:

(1)    不考虑其它组的实验结果,单从甲组情况分析,

若a    7(填>、<或=),则HA为强酸;

若a    7(填>、<或=),则HA为弱酸。

(2)在乙组中混合溶液中离子浓度(A-)与(Na+)的大小关系是    

A.前者大   B.后者大   C.二者相等    D.无法判断

(3)从丙组实验结果分析,HA是    酸(选填“强”或“弱”)。

该混合溶液中离子浓度由大到小的顺序是             

(4)丁组实验所得混合溶液中由水电离出的(OH-)=       mol·L-1

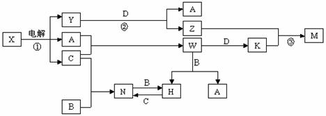
试题详情

26.(14分)中学化学中几种常见物质的转化关系如图所示(图中部分反应物或生成物及反应条件未列出)。

已知:A、B、C、D是单质,其余是化合物。其中B、D是常见金属,且组成B的元素属于过渡元素。又知A在C中点燃有苍白色火焰,M既可溶于盐酸又可溶于NaOH溶液。请回答下列问题:

(1)W的电子式是_______________。

(2)写出N的化学式       ,并任写一种N的主要用途         

(3)写出下列反应的离子方程式:

   反应①                             

反应③__________________________________________________________,

K溶液和过量氨水反应__________________________________________________。

试题详情

25.(18分)如图所示,真空中有(r,0)为圆心,半径为r的圆柱形匀强磁场区域,磁场的磁感应强度大小为B,方向垂直于纸面向里,在y=r的虚线上方足够大的范围内,有方向水平向左的匀强电场,电场强度的大小为E,从O点向不同方向发射速率相同的质子,质子的运动轨迹均在纸面内,设质子在磁场中的偏转半径也为r,已知质子的电量为e,质量为m,不计重力及阻力的作用,求

(1)质子射入磁场时的速度大小

(2)速度方向沿x轴正方向射入磁场的质子,到达y轴所需的时间

(3)速度方向与x轴正方向成30°角(如图中所示)射入磁场的质子,到达y轴的位置坐标。

试题详情


同步练习册答案