题目列表(包括答案和解析)

 0  124178  124186  124192  124196  124202  124204  124208  124214  124216  124222  124228  124232  124234  124238  124244  124246  124252  124256  124258  124262  124264  124268  124270  124272  124273  124274  124276  124277  124278  124280  124282  124286  124288  124292  124294  124298  124304  124306  124312  124316  124318  124322  124328  124334  124336  124342  124346  124348  124354  124358  124364  124372  447348 

12.下列实验过程中产生的变化与对应的图形相符合的是(   )

   

试题详情

11.已知反应mA(g)+nB(g)     qC(g)的正反应为吸热反应,m + n < q,在恒容密闭容器

中反应达到平衡时,下列说法正确的是(    )

A.A的正反应速率是B的逆反应速率的

B.通入稀有气体使压强增大,平衡将逆向移动

C.若平衡时A、B的转化率相等,说明反应开始时A、B的物质的量之比为n:m

D.升高温度,混合气体的平均相对分子质量变大

试题详情

10.在浓盐酸中H3AsO3与SnCl2反应的离子方程式为:

3SnCl2+12Cl+2H3AsO3+6H+=2As+3SnCl62+6M 

关于该反应的说法中正确的组合是                    (   )

① 氧化剂是H3AsO3 

② 还原性:Cl>As;

③ 每生成1molAs,反应中转移电子的物质的量为3mol;

④ M为OH

⑤ SnCl62是氧化产物。

  A.只有①③     B.①③⑤      C.①②③④    D.①②④⑤

试题详情

9.现有一包铝热剂是铝粉和氧化铁粉末的混合物,在高温下使之充分反应,将反应后的固体分为两等份,进行如下实验(计算pH时假定溶液体积没有变化):

①向其中一份固体中加入100mL 2.0mol·L-1的NaOH溶液,加热使其充分反应后过滤,测得滤液的pH=14;

②向另一份固体中加入100mL 4.0 mol·L-1的HCl溶液,使固体全部溶解,测得反应后所得溶液中只有H+、Fe2+和Al3+三种阳离子且pH=1。

则②产生气体的体积(标准状况)为                   ( )

   A.2.352L     B.2.448L     C.2.688L     D.2.856L

试题详情

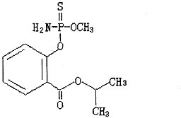
8.海南的毒豇豆、毒黄瓜等毒蔬菜中含有禁用农药水胺

硫磷,水胺硫磷的结构简式如题11图所示:对该化合物的下列叙述正确的是

A.该化合物属于芳香烃

B.该化合物的分子式为C11H14O4NPS

C.该化合物能发生加聚反应、水解反应和酯化反应

D.该化合物中至少有7个碳原子在同一平面

高☆考♂资♀源?网

试题详情

7.下列各组溶液中每种溶质的物质的量浓度均为0.1 mol/L:①H2S  ②NaHS  ③Na2S  ④H2S和NaHS混合液。下列说法正确的是  (   )

A.溶液pH由大到小的是: ③>②>①>④

B.c(S2) 由大到小是:②>③>①>④

C.在H2S 和NaHS混合液中:2c(Na+)=c(H2S) + c(HS) + c(S2)

D.在NaHS溶液中:c(H+) + c(Na+)=c(OH) + c(HS) + c(S2)

试题详情

6.下列关于实验操作的叙述中正确的是                   (   )

   A.从试剂瓶中取出的任何药品,若有剩余不能再放回原试剂瓶

   B.在中和滴定的实验过程中,目光应注视滴定管中的液面

   C.用胶头滴管向试管中滴加液体,一定要将滴管伸入试管中

   D.可燃性气体点燃之前必须验纯

试题详情

5.下列有关人体免疫的叙述正确的是(  )

   ①溶菌酶的杀菌作用属于人体的第一道防线

   ②抗原都是外来异物

   ③人体分泌的乳汁中含有某些抗体

   ④吞噬细胞可参与特异性免疫

   ⑤过敏反应一般不会破坏组织细胞

   ⑥HIV主要攻击人体的T细胞,引起自身免疫病

   ⑦对移植器官的排斥是通过细胞免疫进行的

   A.①④⑤⑦   B.①②③⑦   C.③④⑤⑦   D.②③⑥⑦

试题详情

4.用某种培养基培养谷氨酸棒状杆菌,测得其生长曲线如图A所示。谷氨酸是谷氨酸棒状杆菌的代谢产物之一,其合成途径如图B所示。C图表示几种含氮物质之间相互转化的关系。下列表述正确的是(   )

A.在图B中,谷氨酸脱氢酶活性被抑制的主要原因是其结构发生改变而失活,此种调节方式具有快速、精细的特点。

B.由于谷氨酸棒状杆菌是单细胞生物,每个细胞都具有全能性,故无基因的选择性表达现象

C.在C图中,土壤疏松可促进④过程而抑制②过程,不能独立进行⑧过程的生物,其遗传信息存在于DNA或RNA分子上,自然界中只有部分原核生物可以完成①过程

D.在图A中的3时期,谷氨酸棒状杆菌出现多种形态,甚至畸形,有的细胞解体,有的形成荚膜,竞争最剧烈。

试题详情

3.以下叙述中正确的一组是(   )

  ①人和大肠杆菌在合成人的胰岛素时用以转录的模板链是相同的

②培养转基因动物可选受精卵或离体的体细胞作为受体细胞

③生态系统的结构包括非生物的物质和能量、生产者、消费者和分解者

④要获得灵敏度高、特异性强的单克隆抗体,生产过程中须经两次筛选,两次筛选的

方法不同高☆考♂资♀源?网

⑤高等动物通过氨基转换作用可以合成构建蛋白质的非必需氨基酸,而高等绿色植物

可以合成构建自身的所有有机物

⑥人体在30℃环境中的散热量大于其在5℃环境中的散热量,从而使体温保持相对稳定

A.④⑤     B.②④⑥     C.①④⑤⑥     D.②③④⑤⑥

试题详情


同步练习册答案