题目列表(包括答案和解析)

 0  133892  133900  133906  133910  133916  133918  133922  133928  133930  133936  133942  133946  133948  133952  133958  133960  133966  133970  133972  133976  133978  133982  133984  133986  133987  133988  133990  133991  133992  133994  133996  134000  134002  134006  134008  134012  134018  134020  134026  134030  134032  134036  134042  134048  134050  134056  134060  134062  134068  134072  134078  134086  447348 

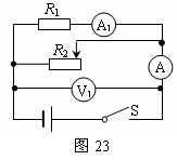
30.在如图23所示的电路中,R2为0-50Ω的变阻器,合上开关后,V的示数为6V,A表的示数为2A,A1的示数为0.5A,求:(1)电阻R1的阻值;(2)变阻器R2连入电路部分的阻值;(3)如果A表的量程为0-3A,A1表的量程为0-0.6A,为了不使电表损坏,变阻器连入电路的阻值应在什么范围内?

试题详情

29. 如图22所示,电源电压不变,R1=5Ω,R2=10Ω,当S1,S2均断开时,V的示数为6V,A的示数为0.2A,求(1)电阻R3的阻值和电源电压;(2)当S1、S2均闭合时,电流表和电压表的示数。

试题详情

28.李芳同学在做电学实验时,发现滑动变阻器有四个接线柱,她猜想:能不能利用这四个接线柱,连接出不同电路,获得不同的作用效果。为了验证这个猜想,她取了12V的电源、阻值范围0∽48Ω的滑动变阻器、“12V  6W”的小灯泡、开关各一个和导线若干,连接出如图21甲、乙两种不同电路。请你帮她分析解决下面的问题(设电源电压不变,灯的电阻不变)

(1)甲图中小灯泡两端电压的变化范围;

(2)乙图中小灯泡两端电压的变化范围;

(3)在甲乙两种电路中,滑动变阻器的作用效果有何不同?

试题详情

27.物理课后,小南和小雄想探究“西红柿电池的电压大小与哪些因素有关”。于是他们将一块铜片和一块锌片插入西红柿,做成了一个“西红柿电池”。小雄说:“电压大小可能与两金属片之间的距离有关”;小南想了想说:“电压大小也可能与两金属片插入西红柿中的深度有关。”为了验证猜想是否正确,他们找来了电压表,连成了如图20所示的电路。

(1)请选择其中一个猜想,提出验证的方法。

(2)若将废旧电池随手丢弃或混入生活垃圾中一起填埋,其中的有害物质会渗透到土壤,污染地下水,继而进入鱼类、农作物中,影响人类的健康。请你说出废旧电池中的某一有害物质:         

(3)目前人们乱丢废旧电池的现象非常普遍。请你针对这点給有关部门提出一条合理化建议。

试题详情

26.人类已进入信息时代,很多信息給我们的生活和学习带来了便利。小名在商店看到这样的宣传广告:“××牌电热水壶高效、节能、省时,烧开一壶水仅需3分钟……。”小明心想:难道这是真的吗?他仔细看了电水壶的铭牌(如图19所示),带着疑问,他又请教了物理老师,老师提示说:“每千克水温度升高1℃需吸收4.2×103J的热量。”请你与小明一起通过估算分析这则广告是否可信?写出必要的计算过程。

额定电压
220V
额定功率
1000W
容积
2L
超温保护器
熔端温度110℃

图19
 

试题详情

25.根据图18所示电路中所给的条件,至少求出五个相应的物理量。

 

试题详情

24.如图17所示为某校科技活动小组制作的恒温箱的电路示意图,电热丝是恒温箱的加热元件。图中的水银温度计为导电温度计,上面的金属丝A的高度可以调整,下面的金属丝B与温度计中的水银接触,该温度计的水银液泡被放置到恒温箱内,请根据此电路图说明恒温工作的原理。

试题详情

23.如图14所示是“测定小灯泡的电功率”实验的电路图,图15是即将连接完成的实验电路,其中电源为三节新的干电池,灯泡的额定电压为3.8V,灯丝的电阻约为10Ω,滑动变阻器标有“10Ω  1A”字样。

(1)对照电路图,用笔画线代替导线,将图15中为完成部分连接好。

(2)当闭合电路的开关时,若出现以下不正常现象(见表)

请你从下列选项中选择可能的原因填入上表填选项代号)

A.电路中a、b间断路;B.电路中a、b间短路  C.滑动变阻器连入电路中的电阻太小。

(3)为了测出小灯泡的额定功率,应调节滑动变阻器,使电压表示数为     V,若此时电流表示数如图16所示,则通过灯泡的电流为

     A,该灯泡的额定功率是    W。

试题详情

22.有额定电压及外形相同的甲、乙两盏小灯泡,在不计温度对电阻影响的条件下,某同学得到灯泡的电流随电压变化关系图像,如图13所示。

(1)    请你比较两灯电阻大小,并说明判断方法。

(2)通过分析你还能获取哪些信息?

信息一:          

信息二:          

试题详情

21.电是我们使用最为广泛的能源之一,但如果使用不当,电也是相当危险的,所以我们在用电时应遵守安全用电的原则,例如有金属外壳的用电器,外壳一定要接地。下面请你列举两个实际生活中应该安全用电的例子。

试题详情


同步练习册答案