题目列表(包括答案和解析)

 0  136404  136412  136418  136422  136428  136430  136434  136440  136442  136448  136454  136458  136460  136464  136470  136472  136478  136482  136484  136488  136490  136494  136496  136498  136499  136500  136502  136503  136504  136506  136508  136512  136514  136518  136520  136524  136530  136532  136538  136542  136544  136548  136554  136560  136562  136568  136572  136574  136580  136584  136590  136598  447348 

7. 如图所示,图线a是线圈在匀强磁场中匀速转动时所产生正弦交流电的图象,当调整线圈转速后,所产生的正弦交流电图象如图线b所示. 以下关于这两个正弦交流电的说法正确的是(    )

A. 在图中t=0时刻穿过线圈的磁通量均为零

B. 线圈先后两次转速之比为3∶2

C. 交流电a的瞬时值表示为u=10sin5πt V

  D. 交流电b的有效值为10/3 V

试题详情

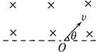
6. 如图所示,在垂直纸面向里的匀强磁场的边界上,有两个质量和电荷量均相同的正、负粒子(不计重力影响), 从O点以相同的速度先后射入磁场中,入射方向与边界成θ角, 则正、负粒子在磁场中(    )

A. 运动时间相同              B. 运动轨迹的半径相同

C. 重新回到边界时速度的大小和方向相同   D. 重新回到边界的位置与O点的距离相等

试题详情

5. 酒精测试仪用于对机动车驾驶人员是否酒后驾车及其他严禁酒后作业人员的现场检测,它利用的是一种二氧化锡半导体型酒精气体传感器. 酒精气体传感器的电阻随酒精气体浓度的变化而变化,在如图所示的电路中,不同的酒精气体浓度对应着传感器的不同电阻,这样,显示仪表的指针就与酒精气体浓度有了对应关系. 如果二氧化锡半导体型酒精气体传感器电阻r′的倒数与酒精气体的浓度成正比,那么,电压表示数U与酒精气体浓度c之间的对应关系正确的是(    )

A. U越大,表示c越大,cU成正比

B. U越大,表示c越大,但是cU不成正比

C. U越大,表示c越小,cU成反比

D. U越大,表示c越小,但是cU不成反比

试题详情

4. 一根细线一端系一小球(可视为质点),另一端固定在光滑圆锥顶上,如图所示. 设小球在水平面内做匀速圆周运动的角速度为ω,线的张力为T,则Tω2变化的图象是图中的(    )

试题详情

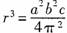
3. 地球同步卫星到地心的距离r可由求出. 已知式中a的单位是mb的单位是sc的单位是ms2,则(    )

  A. a是地球半径,b是地球自转的周期,c是地球表面处的重力加速度

  B. a是地球半径,b是同步卫星绕地心运动的周期,c是同步卫星的加速度

  C. a是赤道周长,b是地球自转的周期,c是同步卫星的加速度

  D. a是地球半径,b是同步卫星绕地心运动的周期,c是地球表面处的重力加速度

试题详情

2. 如图所示,分别用F1F2F3将质量为m的物体由静止沿同一光滑斜面以相同的加速度从斜面底端拉到斜面的顶端,物体到达斜面顶端时,力F1F2F3的功率关系为(    )

A. P1P2P3      B. P1P2P3

C. P3P2P1      D. P1P2P3

试题详情

1. 某军事试验场正在平地上试射地对空导弹,若某次竖直向上发射导弹时发生故障,导弹vt图像如图所示,则下述说法中正确的是(    )

A. 0-1 s内导弹匀速上升   B. 1 s-2 s内导弹静止不动

C. 3 s末导弹上升到最高点  D. 5 s末导弹恰好回到出发点

试题详情

8、在如图所示电路中,闭合电键 S,当滑动变阻器的滑动触头 P 向下滑动时,四个理想电表的示数都发生变化,电表的示数分别用 I、U1、U2 和 U3 表示,电表示数变化量的大小分别用 ΔI、ΔU1、ΔU2 和 ΔU3 表示,下列答案正确的是:

A、U1/I 不变,ΔU1/ΔI 不变. B、U2/I 变大,ΔU2/ΔI 变大.

C、U2/I 变大,ΔU2/ΔI 不变. D、U3/I 变大,ΔU3/ΔI不变.

试题详情

7、.某同学在实验室里熟悉各种仪器的使用,他将一条形磁铁放在转盘上,如图甲所示,磁铁可随转盘转动,另将一磁感强度传感器固定在转盘旁边,当转盘(及磁铁)转动时,引起磁感强度测量值周期性地变化,该变化与转盘转动的周期一致.经过操作,该同学在计算机上得到了如图乙所示的图像:                  

 A.在图象记录的这段时间内,圆盘转动的快慢情况是不变

B.在图象记录的这段时间内,圆盘转动的快慢情况是先快慢不变,后越来越慢

C.若该磁场穿过一个线圈则在t=0.15s时刻,线圈内产生的感应电流的方向发生了变化

D.若该磁场穿过一个线圈则在t=0.15s时刻,线圈内产生的感应电流的大小达到了最大值。

 

试题详情

6、如图所示,一电场的电场线分布关于y轴(沿竖直方向)对称,O、M、N是y轴上的三个点,且OM=MN,P点在y轴的右侧,MP⊥ON,则:

A.M点的电势比P点的电势高

B.将负电荷由O点移动到P点,电场力做正功

C. M、N 两点间的电势差大于O、M两点间的电势差

D.在O点静止释放一带正电粒子,该粒子将沿y轴做直线运动

试题详情


同步练习册答案