题目列表(包括答案和解析)

 0  157126  157134  157140  157144  157150  157152  157156  157162  157164  157170  157176  157180  157182  157186  157192  157194  157200  157204  157206  157210  157212  157216  157218  157220  157221  157222  157224  157225  157226  157228  157230  157234  157236  157240  157242  157246  157252  157254  157260  157264  157266  157270  157276  157282  157284  157290  157294  157296  157302  157306  157312  157320  447348 

22、在“研究平抛物体运动”的实验中,可以描绘平抛物体运动轨迹和求物体的平抛初速度。实验简要步骤如下:

A.让小球多次从    位置由静止滚下,记下小球穿过卡片孔的一系列位置。

B.安装好器材,注意斜槽末端水平和平板竖直,记下斜槽末端O点和过O点的竖直线。检测斜槽末端水平的方法是                  

C.测出曲线上某点的坐标x 、y ,用v0 =       算出该小球的平抛初速度。实验需要对多个点求v0的值,然后求它们的平均值。

D.取下白纸,以O为原点,以竖直线为轴建立坐标系,用平滑曲线画出平抛轨迹。

上述实验步骤的合理顺序是___________(只排列序号即可)。

试题详情

21、在一次汽车拉力赛中,汽车要经过某半径为R的圆弧形水平轨道,地面对汽车的最大静摩擦力为车重的0.1倍,汽车要想通过该弯道时不发生侧滑,那么汽车的行驶速度不应大于(   )

                        

第Ⅱ卷(非选择题  共174分)

实验题(本题共2小题,满分18分;前3空每空2分,后4空每空3分)

试题详情

20、在宽度为d的河中,水流速度为v2 。船在静水中速度为v1(且v1>v2),方向可以选择。现让该船开始渡河,则该船(    )

A.可能的最短渡河时间为

B.可能的最短渡河位移为d

C.当船头垂直河岸渡河时,渡河时间和水速无关

D.不管船头与河岸夹角是多少,渡河时间和水速均无关

试题详情

19、如图所示,卡车通过定滑轮牵引河中的小船,小船一直沿水面运动。则(   )

 

A.小船的速度v2总小于汽车速度v1

B.汽车速度v1总小于小船的速度v2

C.如果汽车匀速前进,则小船加速前进

D.如果汽车匀速前进,则小船减速前进

试题详情

18、 如图所示的皮带传动装置中,轮A和B同轴,A、B、C分别是三个轮边缘的质点,且RA=RC=2RB,则三质点的向心加速度之比aA:aB:aC等于 (   )

A.4:2:1    B.2:1:2     C.1:2:4    D.4:1:4

试题详情

17、对于平抛运动(g为已知),下列条件中可以确定物体初速度的是( )

A.已知水平位移             B.已知下落高度

C.已知位移的大小和方向      D.已知落地速度的大小和方向

试题详情

16、关于匀速圆周运动的向心力,下列说法正确的是(    )

A.向心力是指向圆心方向的合力,是根据力的作用效果命名的

B.向心力可以是多个力的合力,也可以是其中一个力或一个力的分力

C.对稳定的圆周运动,向心力是一个恒力

D.向心力的效果是只改变质点的线速度大小

试题详情

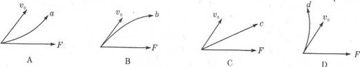
15、若已知物体运动的初速度v0的方向及它受到的恒定的合外力F的方向,图abcd表示物体运动的轨迹,其中正确是的(   )

试题详情

14、关于运动的性质,以下说法中正确的是(   )

A.曲线运动一定是变速运动

B.变速运动一定是曲线运动

C.曲线运动一定是变加速运动

D.物体加速度大小、速度大小都不变的运动一定是直线运动

试题详情

15.一列火车做匀变速直线运动向站台驶来,一个人站在站台上,发现在相邻的两个10s内列车分别从他跟前驶过8节和6节车厢,每节车厢长8m,连接处长度不计.求火车加速度a和人开始计时时火车的速度.

试题详情


同步练习册答案