题目列表(包括答案和解析)

 0  165405  165413  165419  165423  165429  165431  165435  165441  165443  165449  165455  165459  165461  165465  165471  165473  165479  165483  165485  165489  165491  165495  165497  165499  165500  165501  165503  165504  165505  165507  165509  165513  165515  165519  165521  165525  165531  165533  165539  165543  165545  165549  165555  165561  165563  165569  165573  165575  165581  165585  165591  165599  447348 

3.在赤道平面上空沿东西方向放置一根导线,通以由西向东的电流,则此导线所受地磁场作用力的方向为(   )   A.向上      B.向下      C.向南      D.向北

试题详情

2.下列说法正确的是(   )

A.线圈中磁通量变化越大,产生的感应电动势一定越大。

B.线圈中磁通量越大,产生的感应电动势一定越大。

C.线圈放在磁场越强的位置产生的感应电动势一定越大。

D.线圈中磁通量变化越快,产生的感应电动势越大。

试题详情

1.某电场的分布如图所示,带箭头的实线为电场线,虚线为等势面。A、B、C三点的电场强度分别为EA、EB、EC,电势分别为­­­­B­­C,关于这三点的电场强度和电势的关系,以下判断中正确的是(   )

A.E­­A<E­­B, ­­B=­­C      B.E­>EB, ­­>­­B 

C.EA>EB, ­­<­­B     D.EA=EC, ­­B=­­C

试题详情

18、解由图乙得小滑块在之间做简谐运动的周期

由单摆振动周期公式,高◎考※资*源

得球形容器半径

代入数据得R=0.1m.

在最高点A,有,得

在最低点B,有,式中

AB过程中,滑块机械能守恒,则

由以上各式解得cosθ=0.99,则m=0.05㎏

滑块的机械能E=mgR(1-cosθ)=5×10-4J

试题详情

18.(14分)将一测力传感器连接到计算机上就可以测量快速变化的力.图甲表示小滑块(可视为质点)沿固定的光滑半球形容器内壁在竖直平面的之间来回滑动,点与O点连线与竖直方向之间的夹角相等且都为θ,均小于10°,图乙表示滑块对器壁的压力F随时间t变化的曲线,且图中t=0为滑块从A点开始运动的时刻.试根据力学规律和题中(包括图中)所给的信息,求小滑块的质量、容器的半径及滑块运动过程中的守恒量机械能.(g取10m/s2)

t=n·T/2,(n=1、2、3……)

所以2x/v=nT/2,T=2π.

所以x=nπv (n=1、2、3……)

试题详情

17.(10分)如图7-1-6所示,摆长为L的单摆,当摆球由A经平衡位置O向右运动的瞬间,另一小球B以速度v同时通过平衡位置向右运动,B与水平面无摩擦,与竖直墙壁碰撞无能量损失,问OC间距离x满足什么条件,才能使B返回时与A球相遇?

试题详情

16.(10分) 如图6所示,直角玻璃三棱镜置于空气中,已知∠A=6O°,∠C=90°;一束极细的光于AC边的中点垂直AC面入射,AC=2a,棱镜的折射率为n=,求:

(1)光在棱镜内经一次全反射后第一次射人空气时的折射角.

(2)光从进入棱镜到第一次射人空气时所经历的时间

(设光在真空中传播速度为c).

试题详情

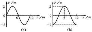
15.(8分)一列简谐波在某时刻的波动图象如图(a)所示,经0.1s(小于周期)后变成图(b)所示.如果波的传播方向沿x轴正方向.求:

(1)该波的波长λ;  (2)该波的波v;  (3)该波的频率f

试题详情

14.在一次用单摆测定重力加速度的实验中,图(甲)的O点是摆线的悬挂点,ab点分别是球的上沿和球心,摆长L=_____________m.

甲            乙
 

图(乙)为测量周期用的秒表,长针转一圈的时间为30s,表盘上部的小圆共15大格,每一大格1min,该单摆摆动n=50次时,长、短针位置如图所示,所用时间t=_____________s.

用以上直接测量的物理量的英文符号表示重力加速度的计算式为g=_____________(不必代入具体数值)

试题详情

13.在用插针法测定玻璃砖折射率的实验中,甲、乙、丙三位同学在纸上画出的界面aa’bb’与玻璃砖位置的关系分别如图①、②和③所示,其中甲、丙同学用的是矩形玻璃砖,乙同学用的是梯形玻璃砖.他们的其他操作均正确,且均以aa’bb’为界面画光路图.则

甲同学测得的折射率与真实值相比______(填“偏大”、“偏小”或“不变”).

乙同学测得的折射率与真实值相比______(填“偏大”、“偏小”或“不变”).

丙同学测得的折射率与真实值相比____________________________________

试题详情


同步练习册答案