题目列表(包括答案和解析)

 0  165358  165366  165372  165376  165382  165384  165388  165394  165396  165402  165408  165412  165414  165418  165424  165426  165432  165436  165438  165442  165444  165448  165450  165452  165453  165454  165456  165457  165458  165460  165462  165466  165468  165472  165474  165478  165484  165486  165492  165496  165498  165502  165508  165514  165516  165522  165526  165528  165534  165538  165544  165552  447348 

7.电源的电动势为4.5V,内电阻为0.50Ω,外电路接一个4.0Ω的电阻,这时电源两端的电压为.                          (   )

    A.5.0V         B.4.5V         C.4.0V         D.3.5V

试题详情

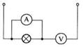
6.用伏安法测灯泡电阻时,误将电流表和电压表的位置接成如图所示电路,则会出现的情况是.                           (   )

    A.电流表烧坏                    

    B.灯泡不亮

    C.灯泡烧坏                                     

    D.电压表示数为零

试题详情

5.有三个相同的金属小球A、B、C,其中A、B两球带电情况相同,C球不带电.将A、B两球相隔一定距离固定起来,两球间的库仑力是F,若使C球先和A接触,再与B接触,移去C,则A、B间的库仑力变为          (   )

    A.        B.    C.           D.

试题详情

4.两个球沿直线相向运动,碰撞后两球都静止。则可以推断碰之前            (   )

    A.两个球的动量一定相等            B.两个球的质量一定相等

    C.两个球的速度一定相等            D.两个球的动量大小相等,方向相反

试题详情

3.在光电效应实验中,如果需要增大光电子到达阳极时的速度,可采用哪种方法  (   )

    A.增加光照时间                B.增大入射光的波长

    C.增大入射光的强度              D.增大入射光频率

试题详情

2.铀裂变的产物之一氪90()是不稳定的,它经过一系列衰变最终成为稳定的锆90(),这些衰变包含                                     (   )

    A.1次α衰变,6次β衰变         B.4次β衰变

    C.2次α衰变               D.2次α衰变,2次β衰变

试题详情

1.在卢瑟福的a粒子散射实验中,有极少数a粒子发生大角度偏转,其原因是 (   )

    A.原子的正电荷和绝大部分质量集中在一个很小的核上

    B.正电荷在原子中是均匀分布的

    C.原子中存在着带负电的电子

    D.原子只能处于一系列不连续的能量状态中

试题详情

15、(12分)解:

(1)金属棒开始下滑的初速为零,根据牛顿第二定律: mgsinθμmgcosθ=ma,解得 a=10×(0.6-0.25×0.8)m/s2=4m/s2

(2)4m/s   

(3)B=2T ,磁场方向垂直导轨平面向上.

洛仑兹力提供向心力   

由图可知    r = 2h       

解得      h = 2=3.46m 

  (3)ab系统损失的机械能

         

     或   

解得   = 1.48 ×10-4J      

试题详情

14、(12分)解:

(1)设二者相对静止时共同速度为,则有:

                                                    

  (2)      

  (3)对系统(M,m)应用功能关系分析有:

                                      

     

试题详情

13、(12分)解:

(1)在最高点,重力等于向心力速度最小,

     

(2)设释放的距A点的竖直高度为h,  A点为零势能面

试题详情


同步练习册答案