题目列表(包括答案和解析)

 0  166330  166338  166344  166348  166354  166356  166360  166366  166368  166374  166380  166384  166386  166390  166396  166398  166404  166408  166410  166414  166416  166420  166422  166424  166425  166426  166428  166429  166430  166432  166434  166438  166440  166444  166446  166450  166456  166458  166464  166468  166470  166474  166480  166486  166488  166494  166498  166500  166506  166510  166516  166524  447348 

19.如图所示是用频闪照相的方法拍下的一个弹簧振子的振动情况,甲图是振子静止在平衡位置时的照片,乙图是振子被拉伸到左侧距平衡位置20 cm处,放手后,在向右运动周期内的频闪照片.丙图是振子从放手开始在周期内的频闪照片.已知频闪的频率为9.0 Hz,则振动的周期T是_________s,振子在1 s内所走的路程是_________cm.

试题详情

18.下图为“研究电磁感应现象”的实验装置.

(1)将图中所缺的导线补接完整.

(2)如果在闭合电键时发现灵敏电流计的指针向右偏了一下,那么合上电键后可能出现的情况有:

a.将原线圈迅速插入副线圈时,灵敏电流计指针将__________。

b.原线圈插入副线圈后,将滑动变阻器触头迅速向左拉时,灵敏电流计指针将________。(填“向右偏”或“向左偏”。)

试题详情

17.如图所示,实线与虚线分别表示振幅、频率、振动情况均相同的两列波的波峰和波谷.此刻,M是波峰与波峰相遇点,下列说法中正确的是  (   )

A.该时刻质点O正处于平衡位置        

B.P、N两质点始终处在平衡位置

C.随着时间的推移,质点M将向O点处移动  

D.从该时刻起,经过四分之一周期,质点M到达平衡位置

试题详情

16.如图所示为声波1和声波2在同一种介质传播时某时刻的波形图,则下列说法中正确的是(   )

A.波2速度比波1速度大              

B.波2频率比波1频率大

C.波2的波长比波1的波长小           

D.这两列波不可能发生干涉现象

试题详情

15.一简谐横波沿x轴正方向传播,某时刻其波形如图所示下列说法正确的是  (   )

?A.由波形图可知该波的波长             

B.由波形图可知该波的周期 

?C.经周期后质点P运动到Q点            

D.经周期后质点R的速度变为零

试题详情

14.如图所示,理想变压器原、副线圈的匝数比n1n2=4﹕1,当导体棒L在匀强磁场中向左做匀速直线运动切割磁感线时,电流表A1的示数是12mA,则电流表A2的示数为(  )

A、3 mA      B、0 mA

C、48 mA     D、与负载R的值有关

试题详情

13.一个闭合的正方形线圈放在匀强磁场中,线圈平面与磁感线垂直,当磁场的磁感应强度发生均匀变化时,可在线圈内产生的感应电动势为E,.若要使线圈内产生的感应电动势变为2E,可采用的方法有(    )

A.线圈匝数增加一倍      B.正方形的边长增加一倍

C.使线圈平面与磁场线平行   D.磁感应强度对时间的变化率增加一倍

试题详情

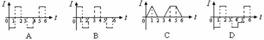
12.一矩形线圈位于一随时间t变化的匀强磁场内,磁场方向垂直线圈所在的平面(纸面)向里,如图1所示.磁感应强度Bt的变化规律如图2所示.以I表示线圈中的感应电流,以图1中线圈上箭头所示方向的电流为正,则以下的I-t图中正确的是(  )

试题详情

11.如图所示,ab是用同种规格的铜丝做成的两个同心圆环,两环半径之比为2∶3,其中仅在a环所围区域内有垂直于纸面向里的匀强磁场.当该匀强磁场的磁感应强度均匀增大时,ab两环内的感应电动势大小和感应电流大小之比分别为 (   )

A. 1∶1,3∶2    

 B. 1∶1,2∶3

C. 4∶9,2∶3    

D. 4∶9,9∶4

试题详情

10.如图所示,是一列简谐横波在某时刻的波形图,若此时质元P正处于加速运动过程中,则此时 (   )

A、质元Q和质元N均处于加速运动过程中。

B、质元Q和质元N均处于减速运动过程中。

C、质元Q处于加速运动过程中,质元N处

于减速运动过程中。

D、质元Q处于减速运动过程中,质元N处于加速运动过程中。

试题详情


同步练习册答案