题目列表(包括答案和解析)

 0  167185  167193  167199  167203  167209  167211  167215  167221  167223  167229  167235  167239  167241  167245  167251  167253  167259  167263  167265  167269  167271  167275  167277  167279  167280  167281  167283  167284  167285  167287  167289  167293  167295  167299  167301  167305  167311  167313  167319  167323  167325  167329  167335  167341  167343  167349  167353  167355  167361  167365  167371  167379  447348 

2.根据分子动理论,下列关于气体的说法中正确的是  (   )

 A.气体的温度越高,气体分子无规则运动越剧烈

 B.气体的压强越大,气体分子的平均动能越大

 C.气体分子的平均动能越大,气体的温度越高

 D.气体的体积越大,气体分子之间的相互作用力越大

试题详情

1.α射线、β射线、γ射线、x射线、红外线,关于这5种射线的分类有如下一些说法,其中正确的是(   )

 A.前两种不是电磁波,后三种是电磁波

 B.前三种传播速度较真空中的光速小,后两种与光速相同

 C.前三种是原子核发生核反应时放出的,后两种是核外电子发生跃迁时放出的

 D.前两种是由实物粒子组成的,不具有波粒二象性,后三种是光子组成的,具有波粒二象性

试题详情

解:,原因是产生的白色固体小粒(烟)吸水性很强,吸收空气中的水,生成磷酸溶液的小液滴(雾),因此产生烟雾。

 

试题详情

中国体育代表团副团长段世杰雅典当地时间8月26日下午在雅典接受华奥星空视频访谈时表示,运动员使用兴奋剂是奥林匹克运动的灾难。本届奥运会我不知道确切数字,但是已经查出若干例,现在已经检测了两千多例,我觉得检测是一个很大的威慑,如果没有分兴奋剂这样的条例,没有坚定的包括这种检测高水平的

科技水平。这个奥运会就很难确定谁的成绩

是真实的,谁的成绩是假的,而且导致很多

大面积的使用兴奋剂,伤及人的身体。

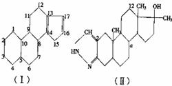
合成类固醇是奥运会医学委员会于1984

年公布的违禁药物之一。从结构上看,类固醇

是一类含有环戊烷多氢菲核(如I式)基本结构的化合物。这类药物之一的-烷基化睾酮衍生物如康力龙(其结构简式如II式),由于其分子中-碳上烷基的作用,此种药物具有对肝功能明显的损害作用,甚至有引起肝癌的毒副作用,因此属违禁药物。

(1)康力龙分子中共有     个碳原子。

(2)用I式中给碳位编号的方法给II式碳原子定位,其中位的编号是     

(3)已知I式能使溴水褪色,则其可能产物的结构简式为(未参加反应部位的碳环略去不写,但反应部位的碳环上碳位编号至少要标上两处)       

解:此题对违禁药物的了解题型,应用化学知识求解。

(1)从II式中可得出康力龙分子中共有21个碳原子;(2)按

照I式编号原则,逆时针旋转得位编号为8;(3)I式使溴水

褪色,是因为分子结构中有碳碳双键,按加成反应规律,可知

答案,见右图。

试题详情

经过两个多小时的艰苦奋战,为中国代表团获得本次奥运会第31

枚金牌,也是集体项目的唯一一枚金牌。时隔20年后,中国女排

再次站到奥运会最高的领奖台上。

如图所示,排球场总长为18米,运动员站在离网3米的线上正对网前竖直跳起把球水平击出。设击球点的高度为2.5m,问球被水平击出时的速度在什么范围内才能使球不能触网也不会出界?

解:当球刚要触网时,满足,有平抛运动的知识知。当球刚要出界时,满足,由平抛运动知识可得,由此可得想要既不出界又不触网,球速应该在之间。

试题详情

解:运动员从离开跳台到达最高点所需时间为,从最高点到入水所需时间为,所以运动员在空中运动的时间为

试题详情

A.减小篮球的动量       B.减小篮球的动量变化

C.增大篮球的动量变化     D.减小篮球的动量变化率

解:根据有关物理知识知D正确。

试题详情

(1)我国选手滕海滨获得体操男子鞍马的冠军。黄珊汕 (中国)在雅典奥运会上获得了铜牌。18岁的福建小姑娘黄珊汕在20号晚进行的雅典奥运

会蹦床比赛中获得铜牌,为中国赢来首枚奥运会的蹦床奖

牌。她的运动速度随时间变化的图象如图,图中Oa段和

cd段为直线。则根据此图象可知,她和蹦床相接触的时间

为(   )A.t2-t4  B.t1-t4  C.t1-t5  D.t2-t5

解:根据图象和受力特点知D正确。

(2)蹦床是运动员在一张绷紧的弹性网上蹦跳、翻滚并做各种动作的运动项目。一个质量为60kg的运动员,从离水平网面3.2m高处自由下落,着网后沿竖直方向蹦回到离水平网面5.0m高处。已知运动员与网接触的时间为1.2s,若把这段时间内网对运动员的作用力当作恒力处理,求此力的大小。(g=10m/s2)

解:运动员从高处下落到水平网上的瞬时速度为m/s,方向向下;跳离网时的速度为m/s,方向向上。

运动员与网接触过程受竖直向上的弹力和向下的重力,取向上的方向为正,对运动员应用动量定理有:

,代入数据,得N。

试题详情

(1)我国运动员刘翔获得雅典奥运会110米栏冠军,成绩是12秒91在男子110米跨栏中夺得金牌,实现了我国在短跑中多年的梦想。是亚洲第一人。刘之所以能够取得冠军,取决于他在110米中的(   )

A.某时刻的瞬时速度大   B.撞线时的瞬时速度大

C.平均速度大       D.起跑时的加速度大

解:根据s=vt可知C正确。

(2)近来,数学家J.B.Keller提出一种模型。他设定奔跑中使出一个随时间变化的总力F,而这个力会超过某个最大值Fmax,奔跑者耗费的功率等于力乘速度,即Fv,并假定与运动方向相反的耗散力和速度成正比,所以D=cv。运动员能够用的储存能量为E0。但是,一旦它被耗尽,速率就受到新陈代谢过程提供附加能量的转化效率(假定是常数)的限制。下面给出了一个48kg运动员的Keller奔跑模型的生理参数:

最大作用力;耗散力系数

储存的代谢能;代谢能的转化效率

我国选手邢慧娜获得雅典奥运会女子10000米冠军,成绩是30分24秒36,相当于5.48m/s的平均速度,已知邢慧娜的质量为48kg,求她以这个速率奔跑时耗散的功率,并将它与代谢过程中提供附加量的转化效率相比较,这说明了什么?

解:耗散的功率为

能量的转化效率

运动员正在消耗所储存的能量,耗散的功率与提供的功率之差是208W,在30分24秒36(即约为1824s)内,这相当于消耗了能量,这很接近总的储存能量,因此表明邢慧娜已使用了她几乎所有的能量。

(3)某短跑运动员的体重为70kg,起跑时能以1/7s冲出1m远,能量全部由消耗体内的葡萄糖提供,其热化学方程式为:

,则运动员消耗葡萄糖的质量为(   )     A.0.22g   B.0.55g    C.0.66g   D.0.44g

解: ,又,代入数据,得:

,所以,得

(4)男子跳高比赛中,瑞典名将斯蒂芬•霍尔姆跳出了2米36的好成绩,超过了所有的对手。在今年于德国举行的埃伯斯塔德国际跳高比赛中,霍尔姆曾经跳出过这一成绩,创造了该项目今年的世界最佳纪录。假设霍尔姆身高1.80cm,身体重心在身长的中点,他过杆时的速度为3m/s,则他起跳时的速度是多少?若海绵垫子厚0.50m,则他刚接触垫子时的速度是多少?他自接触垫子至压缩垫子到最低点的过程中,其速度大小如何变化?

解:这里应将跳高运动员看作质点,此质点在其重心处。假设起跑速度后,根据机械能守恒可列关系式。注意跳过高度、身体高度、垫子厚度之间的关系。他过杆时和刚接触垫子时可认为身体是水平的。5.94m/s  6.6m/s  先变大,后变小到零。

(5)跳高运动员在下图所示的四种过杆姿势中,重心最能接近甚至低于横杆的是(   )

解:根据题目图知D正确。

试题详情

(1)石智勇获得了雅典奥运会男子举重62公斤级冠军,成绩是325公斤。假设杠铃的直径是0.50m,石智勇将杠铃举到离地面2.10m高处,则他在抓举、挺举中总共对杠铃至少做了多少功?

解:运动员对杠铃做的功,可由杠铃的重力势能的增加来确定。计算重力势能的增加时必须注意杠铃的半径的影响。W=mgh=5937.58J。

(2)举重运动员把200kg杠铃在0.1s内举起0.735m高度,求这一阶段运动员做功的平均功率是多少,运动员剧烈运动时其主要供能方式是什么?

解:根据做功W=FS=mgh,和功率P=W/t可得P=1.47×104W,有氧呼吸。

(3)举重运动员在比赛前往手上抹的是无水碳酸镁份末,并非镁粉。目的是(   )

A.使手具有合适的滑涩度,增大摩擦系数   B.无水碳酸镁具有吸水性

C.无水碳酸镁粉末可以分解放出二氧化碳   D.无水碳酸镁不溶于水

解:目的是A。

试题详情


同步练习册答案