题目列表(包括答案和解析)

 0  167255  167263  167269  167273  167279  167281  167285  167291  167293  167299  167305  167309  167311  167315  167321  167323  167329  167333  167335  167339  167341  167345  167347  167349  167350  167351  167353  167354  167355  167357  167359  167363  167365  167369  167371  167375  167381  167383  167389  167393  167395  167399  167405  167411  167413  167419  167423  167425  167431  167435  167441  167449  447348 

14.如图所示,OA是水平放置的弹性薄钢片,左端固定于O点,右端固定有一个软铁圆柱

体A,P为套在钢片上的重物. 调节P的位置可以改变OA上下振动的固有频率,使其

  在40Hz-120Hz之间变化. 在A的正下方固定一个带铁心B的线圈,线圈中通有f=50Hz

的交变电流,使OA在磁场力作用下振动.

关于OA稳定后的振动情况,下列说法中

正确的是           (   )

A.无论P位于何处,频率一定是50Hz

B.无论P位于何处,频率一定是100Hz

C.P所处位置的不同,频率可能取40Hz-120Hz间的任何值

D.调节P使OA振动的固有频率为50Hz时OA的振幅最大

  15.如图所示,沿x轴正方向传播的一列简谐波在某时刻的波形图为一正弦曲线,其波速为

200m/s,则可推断                                 

①图中质点b的速度为负方向最大

②从图示时刻开始,经过0.01s,质

点a通过的路程为4m,位移为零

③若此波遇到另一列波并发生稳定的干

涉现象,则该波所遇到的频率为50Hz

④若发生明显衍射现象,该波所遇到的障碍物的尺寸一般不小于20m

正确的是                                                     (   )

A.①③          B.②③          C.①④          D.②④

第Ⅱ卷(非选择题  共75分)

试题详情

13.一个小物体从斜面底端冲上足够长的斜面,然后又滑回斜面底端,已知小物体的初动能

为E,返回斜面底端时的速度为v,克服摩擦力做功为E/2. 若小物体冲上斜面的初动能

为2E,则                        

①物体返回斜面底端时的动能为E

②物体返回斜面底端时的动能为3E/2

③物体返回斜面底端时的速度大小为2

④物体返回斜面底端时的速度大小为

下列选项中正确的一组是                                         (   )

A.①③          B.②④          C.①④          D.②

试题详情

12.在光滑水平面上静止着物体A,物体B与一质量不计的弹簧相连并以一定速度与A相碰,

  如图所示,则弹簧被压缩的过程中

①当弹簧处于最大压缩状态时,两物体速度相等

②只有A、B速度相等时,系统的动量才守恒

③作用过程中,系统的动量总是守恒的

④A、B速度相等时,系统动能最小

下列选项组,完整、正确的一组是                                  (   )

A.①②          B.①③④         C.①②④        D.③④

试题详情

10.物体在恒定的合力作用下做直线运动,在时间△t1内动能由零增大到E1,在时间△t2

动能由E1增大到2E1. 设合力在△t1内做的功是W1,冲量是I1;在△t2内做的功是W2

冲量I2,那么                                                  (   )

A.I1<I2,W1=W2                 B.I1>I2,W1=W2

C.I1<I2,W1<W2                 D.I1=I2,W1<W2

  11.质量为m的均匀木块静止在光滑水平面上,木块左右两侧

各有一位拿着完全相同步枪和子弹的射击手. 首先左侧射

手开枪,子弹水平射入木块的最大深度为d1,然后右侧射

手开枪,子弹水平射入木块的最大深度为d2,如图所示.设子弹均未射穿木块,且两颗子

弹与木块之间的作用力大小均相同. 当两颗子弹均相对于木块静止时,下列判断正确的

是                                                           (   )

A.木块静止,              B.木块向右运动,

C.木块向左运动,           D.木块静止,

试题详情

9.一物体静止在升降机的地板上,在升降机加速上升的过程中,地板对物体的支持力所做

  的功等于                                                      (   )

    A.物体势能的增加量

    B.物体动能的增加量

    C.物体动能的增加量加上物体势能的增加量

    D.物体动能的增加量减去物体势能的增加量

试题详情

8.如图所示,一根轻弹簧竖直直立在水平地面上,下端固定,在弹簧的正上方有一个物块.

  物块从高处自由下落到弹簧上端O,将弹簧压缩,当弹簧被压缩了x0时,物块的速度变

  为零.从物块与弹簧接触开始,物块的加速度的大小随下降的位移x变化的图象可能是

                                                                  (   )

试题详情

7.如图所示,在光滑水平面上一小球以某一速度运动到

  A点时遇到一段半径为R的1/4圆弧曲面AB后,落

  到水平地面的C点,已知小球没有跟圆弧曲面的任

  何点接触,则BC的最小距离为     (   )

    A.            B.         C.         D.

试题详情

6.跳伞运动员打开伞后经过一段时间,将在空中保持匀速降落,已知运动员和他身上装备

  的总重量为G1,圆顶形降落伞伞面的重量为G2,有12条相同的拉线(拉线重量不计),

  均匀分布在伞面边缘上,每根拉线和竖直方向都成30°角. 那么每根拉线上的张力大小

  为                                                           (   )

      A.        B.   C.      D.

试题详情

4.一颗人造地球卫星在地面附近绕地球做匀速圆周运动的速率为v,角速度为ω,加速度为

  g,周期为T. 另一颗人造地球卫星在离地面高度为地球半径的轨道上做匀速圆周运动,

  则                                                           (   )

    A.它的速率为                   B.它的加速度为

    C.它的运动周期为             D.它的角速度也为ω

  5.如图所示,一质量为M的楔形木块放在水平桌面上,它的顶

 角为90°,两底角为α和β;a、b为两个位于斜面上质量均

 为m的小木块. 如果a、b沿斜面匀速下滑,而楔形木块静止

 不动,那么这时楔形木块对水平桌面的压力等于  (   )

    A.Mg+mg                        B.Mg+2mg

    C.Mg+mg(sinα+sinβ)              D.Mg+mg(cosα+cosβ)

试题详情

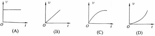
3.雨滴从空中由静止落下,若雨滴下落时空气的阻力随雨滴下落速度的增大而增大,下图

  中图象可能正确反映雨滴下落运动情况的是                            (   )

   

试题详情


同步练习册答案