题目列表(包括答案和解析)

 0  27812  27820  27826  27830  27836  27838  27842  27848  27850  27856  27862  27866  27868  27872  27878  27880  27886  27890  27892  27896  27898  27902  27904  27906  27907  27908  27910  27911  27912  27914  27916  27920  27922  27926  27928  27932  27938  27940  27946  27950  27952  27956  27962  27968  27970  27976  27980  27982  27988  27992  27998  28006  447348 

28.(11分)

某有机物M只含有C、H、O三种元素,有玫瑰香气的无色液体。用于配制香皂、日用化妆品香精。

M的球棍模型如下图所示:

⑴请写出M的分子式         

⑵M在一定条件下,可发生水解反应,生成A、B两种物质,A为芳香族化合物。写出由A、B合成M的化学方程式:                        

⑶已知A有如下转化关系:

 

①写出E的结构简式:          ;A→F属于      反应(填反应类型);

②写出C发生银镜反应的化学方程式:                  

⑷①D有多种同分异构体,其中属于酯类的芳香酯有     种;

②若D的同分异构体有以下的结构和性质特点:

a.与FeCl3溶液反应显紫色

b.发生银镜反应

c.苯环上只有2个取代基。请写出具备上述重要条件的D的全部同分异构体的结构简式:                                

试题详情

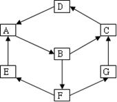
27.(6分)

某兴趣活动小组利用物质间的互变,设计成一个平面魔方,如下图所示

已知①A、B、C、D、G含有同种元素。

 
纯A(单质)
B溶液
D固体
G溶液
颜色
银白色
黄色
红棕色
浅绿色

③E是通常情况下密度最小的气体;B与硝酸银溶液反应生成不溶于稀硝酸的白色沉淀,也能将一种氧化物氧化为F,F是含有三种元素的化合物,与A反应生成E、G。

依据以上信息填空:

(1)写出D的化学式   

(2)G生成C的过程中所出现的现象为        

(3)写出下列反应的化学方程式:

E→A      ; A→B      

(4)B→F的离子方程式为        ;G与次氯酸反应的离子方程式为            

试题详情

26.(10分)

如下图所示,A、F为石墨电极,B、E为铁片电极。按要求回答下列问题。

(1)打开K2,合并K1

B为    极,A的电极反应为         ,最终可观察到的现象是                 ,涉及的化学反应方程式有:

                                   

                                   

(2)打开K1,合并K2

E为     极,F极的电极反应为              ,检验F极产生气体的方法是                           

(3)若往U型管中滴加酚酞,进行(1)(2)操作时,A、B、E、F电极周围能变红的是       ,原因是                           

                            

试题详情

25.(8分)

pC类似pH,是指极稀溶液中溶质物质的量浓度的常用对数负值。如某溶液溶质的浓度为:

1×103mol/L,则该溶液中该溶质的

pC=-lg1×103=3。已知H2CO3溶液中存在

的化学平衡为:CO2+H2O   H2CO3    H+

+HCO3-    2H++CO32-。右图为H2CO3溶液的

pC-pH图。请回答下列问题:

(1)在pH=0-4时,H2CO3溶液中主要存在的离子为:     ;在pH=12时,H2CO3溶液中主要存在的含碳阴离子为:     

(2)pH<5时,溶液中H2CO3的pC值总是约等于3的原因是           

(3)一定浓度的NaHCO3和Na2CO3混合溶液是一种“缓冲溶液”,在这种溶液中加入少量的强酸或强碱,溶液的pH变化不大,其原因是               

试题详情

24.(13分)

当前,一次性筷子、一次性饭盒的安全也受到社会的关注。专家介绍说,正规的一次性筷子所用的原料都是质地较好的木材,不用特殊加工。但是很多小作坊为了降低成本,使用劣质木材,为筷子看上去白一些,他们常用硫磺进行熏蒸漂白,结果造成二氧化硫严重超标,同时硫磺中含铅、汞等重金属,也会对人体造成铅中毒或汞中毒。

(1)“硫磺熏蒸”是应用二氧化硫的漂白性质,写出硫磺燃烧的化学方程式

                                 .

(2)防止、减小毒筷“中毒”最简单的方法是用凉水清洗筷子表面,减少二氧化硫的含量。为研究SO2的溶解性质,某学生做如下实验:如右图,集气瓶中收集的是SO2,瓶塞系着瘪气球,向瓶中滴加紫色石蕊试液,实验现象是_        

为比较SO2 和CO2溶解性的大小,某学生采取同样的装置和操作,能说明SO2在水中的溶解性大于CO2在水中溶解性的实验现象是_    。某学生取出瓶中溶液,将其滴入品红溶液,充分振荡,实验现象为_   ,接着向溶液中加入足量氯水,实验现象为     ,再滴加BaCl2溶液,实验现象为        

(3)在制一次性筷子时有“抛光”程序:加入滑石粉和木签一起搅拌,起到干燥、打磨的作用,使筷子变得光滑,以免毛疵划人的口腔。已知滑石粉是一种含水的具有层状结构的硅酸盐矿物。其质量组成为MgO 31.88%,SiO2 63.37%,H2O 4.75%,其化学式为    

(4)有的厂家用石蜡代替“滑石粉抛光”,石蜡是含碳原子数(C20-C30)较多的稠环芳香烃,常温下为固体,温度高时熔化后可随食物进入人体致使慢性中毒。有如右的一系列物质,则A的分子式为   ,A、B、C    (填“能”或“不能”) 互称为同系物,其理由是_    .该系列化合物里碳的最大质量分数为       

试题详情

22.    已知NO2和N2O4可以相互转化:2NO2(g) N2O4(g);ΔH<0。在恒温条件下将一定量NO2和N2O4的混合气体通入一容积为2 L的密闭容器中,反应物浓度随时间变化关系如右图。下列说法正确的是

A.a、b、c、d四个点中,只有b、d点

的化学反应处于平衡状态

B.前10 min内用υ(NO2)表示的化学反应

速率为0.06 mol/(L·min)

C.25 min时,导致平衡移动的原因是将

密闭容器的体积缩小为1L

D.图中的两条曲线,X是表示N2O4浓度

随时间的变化曲线

第Ⅱ卷(非选择题,共56分)

试题详情

21.    已知反应:①101kPa时,2C(s)+O2(g)=2CO(g);ΔH=-221 kJ/mol

②稀溶液中,H+(aq)+OH(aq)=H2O(1);ΔH=-57.3 kJ/mol

③红磷的化学式为P,白磷的化学式为P4,已知

P4(s)+5O2(g)=P4O10(s)        ΔH=-3093.2 kJ/mol

4P (s)+5O2(g)=P4O10(s)       ΔH=-2954.0 kJ/mol

下列结论正确的是

A.由于红磷转化为白磷是放热反应,等质量的红磷能量比白磷低

B.碳的燃烧热大于110.5 kJ/mol

C.稀硫酸与稀NaOH溶液反应的中和热△H=57.3 kJ/mol

D.稀醋酸与稀NaOH溶液反应生成1 mol水,放出57.3 kJ热量

试题详情

20.    今有一混合物的水溶液,只可能含有以下离子中的若干种:K+、 NH4+、Mg2+、Ba2+、Cl、CO32、SO42,现取三份100mL溶液进行如下实验:

⑴第一份加入AgNO3溶液有沉淀产生

⑵第二份加足量NaOH溶液加热后,收集到气体0.04mol

⑶第三份加足量BaCl2溶液后,得到干燥沉淀6.27g,经足量盐酸洗涤、干燥后,沉淀质量为2.33g。

根据上述实验,以下推测正确的是

A.Cl一定存在           B.K+无法确定是否存在

C.100mL溶液中含0.01molCO32  D.Ba2+和Mg2+一定不存在

试题详情

19.    被誉为中国“新四大发明”的复方蒿甲醚是第一个由中国发现的全新化学结构的药品,也是目前在国际上获得广泛认可的中国原创药品。截至2005年底,已被26个亚非国家指定为疟疾治疗一线用药,它在疟疾这一高传染性疾病治疗

史上具有里程碑意义。其主要成分是青蒿素(是一种由青蒿

中分离得到的具有新型化学结构的抗疟药),结构如下图所

示。有关该化合物的叙述正确的是

A.分子式为:C16H22O5    

B.该化合物在一定条件下不能与NaOH溶液反应

C.该化合物中含有过氧键,一定条件下有氧化性 

D.青蒿素与维生素一样是水溶性的

试题详情


同步练习册答案