题目列表(包括答案和解析)

 0  27835  27843  27849  27853  27859  27861  27865  27871  27873  27879  27885  27889  27891  27895  27901  27903  27909  27913  27915  27919  27921  27925  27927  27929  27930  27931  27933  27934  27935  27937  27939  27943  27945  27949  27951  27955  27961  27963  27969  27973  27975  27979  27985  27991  27993  27999  28003  28005  28011  28015  28021  28029  447348 

21.(10分)随着石油资源的日趋紧张,天然气

资源的转化利用越来越受到人们关注。由于

甲烷分子非常稳定,一般的活化方法需要大

量的热量。右图是最近研发出的天然气利用

新途径:甲烷首先在催化剂的作用下发生氧

氯化反应得到氯甲烷,再在400℃下通过分子

筛催化转化氯甲烷制取低碳烯烃。

请根据以上信息回答下列问题:

⑴ 写出一氯甲烷生成丙烯的化学反应方程式:_____________________________。

⑵ 请从工业生产角度说出一条甲烷经氯甲烷合成低碳烯烃的优点:______________。

⑶ 若该途径中第一步甲烷氧氯化反应的产率为80%,第二步反应生成的烯烃是乙烯、

丙烯、丁烯的混合气体,碳原子的利用率为90%。则:

①标准状况下1m3甲烷通过该途径可生成_______________Kg乙烯、丙烯、丁烯的混合气体。

②工业生产中将第二步反应生成的HCl分离后用于反应第一步合成氯甲烷,若在分离过程中有75%HCl被有效利用,试计算第二轮次反应投料时甲烷与需补充的HCl体积比。

试题详情

20.(12分)呋喃丙胺是一种高效麻醉剂,在临床上被广泛使用,也可用于治疗心律失常。由呋喃甲醛合成呋喃丙胺的流程如下:

已知:

试回答下列问题:

⑴物质A的结构简式是    。反应①~⑤中属于取代反应的有    (填序号)。

⑵呋喃甲醛中碳原子的杂化方式为    ,分子中共平面的碳原子最多有    个。

⑶呋喃丙烯酸的同分异构体中属于醛类且含有酚羟基的结构共有      种。

⑷反应③的化学方程式为                      

⑸反应⑤的化学方程式为                      

试题详情

19.(10分)目前工业上常采用天然气制备乙炔,再由乙炔进一步制备乙酸、维尼纶等化工原料,以下是以天然气为原料的各物质间的转化关系。

已知:R-CN+2H2O+HCl→R-COOH+NH4Cl

请填空:

⑴乙炔的电子式为          

⑵反应②是原子利用率100%的反应,所需另一反应物的分子式为_____________。

⑶写出反应⑥C2H4O和新制Cu(OH)2反应的化学方程式

                                     

⑷化合物C属于乙酸酯,且分子中含有碳碳双键,写出反应⑨的化学方程式

                                     。⑸化合物C某种同分异构体属于酯类且含有五元环,其结构简式是      

试题详情

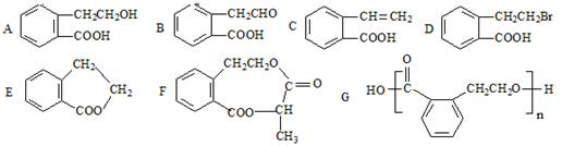
18.(10分)下列B~G均可由有机物A通过不同的反应制得。试回答下列问题:

⑴A→C的反应的类型为:__________。A→E的反应的类型为:___________。

⑵在A-G七种物质中,互为同分异构体的是_________________(填代号,多选扣分,下同)。可看作酯类的是____________________。

⑶由A制取F时的另一反应物的结构简式为____________________________。

⑷请写出D的同分异构体与足量NaOH溶液在一定条件下反应的化学方程式__________________________________________________________。

试题详情

17.(8分)某研究性学习小组在实验室合成了一种物质A。

⑴经分析,A的相对分子质量不超过100,A中C、H的质量分数分别为:w(C)=69.76%,w(H)=11.63%,且完全燃烧后产物只有CO2和H2O。则A的摩尔质量为  

⑵该兴趣小组同学对物质A结构进行了预测,其中不正确的是     (填序号)

    A.可能含有一个碳环和一个醛基    B.可能含有一个碳碳双键和一个羟基

C.可能只含一个碳氧双键官能团    D.可能是环状的醚

⑶若A的核磁共振氢谱如下图所示,且A可以和金属钠反应生成H2,但不能在Cu作催化剂下被催化氧化。(提示:羟基与碳碳双键相连的结构不稳定)

请根据以上信息写出A的结构简式            

⑷A的某种同分异构体B分子中不含支链,能发生银镜反应。写出B发生银镜反应的化学方程式                          

试题详情

16.(10分)⑴北京奥运会祥云火炬将中国传

统文化、奥运精神以及现代高科技融为一体。

火炬内熊熊大火来源于丙烷的燃烧,丙烷是

一种优良的燃料。试回答下列问题:

①   右图是一定量丙烷完全燃烧生成

CO2和1mol H2O(l)过程中的能量变化图,请在附图中的括号内填入“+”或“-”。

②写出表示丙烷燃烧热的热化学方程式:

___________________________________________________________________。

③二甲醚(CH3OCH3)是一种新型燃料,应用前景广阔。1mol二甲醚完全燃烧生成CO2和液态水放出1455kJ热量。若1mol丙烷和二甲醚的混合气体完全燃烧生成CO2和液态水共放出1645kJ热量,则混合气体中,丙烷和二甲醚的物质的量之比为_______。

⑵盖斯定律认为:不管化学过程是一步完成或分数步完成,整个过程的总热效应相同。试运用盖斯定律回答下列问题:

①已知:  H2O(g)=H2O (l)              △H1=-Q1 kJ/mol

C2H5OH(g)=C2H5OH (l)           △H2=-Q2 kJ/mol

C2H5OH (g)+3O2(g)=2CO2(g)+3H2O(g)  △H3=-Q3 kJ/mol

若使23g液态无水酒精完全燃烧,并恢复到室温,则整个过程中放出的热量为____________kJ。

②碳(s)在氧气供应不充分时,生成CO同时还部分生成CO2,因此无法通过实验直接测得反应:C(s)+O2(g)CO(g)的△H。但可设计实验、利用盖斯定律计算出该反应的△H,计算时需要测得的实验数据有                  

试题详情

15.(12分)环己酮(微溶于水,易溶于醇和醚,沸点155.7℃)是一种重要的有机化工原料,主要用于制造己内酰胺和己二酸。实验室可用环己醇氧化制取环己酮(已知该反应为放热反应):

实验步骤如下:

① 将重铬酸钠溶于适量水,边搅拌边慢慢加入浓H2SO4,将所得溶液冷至室温备用。

② 在一圆底烧瓶(乙)中加入适量环己醇,并将①中溶液分三次加入圆底烧瓶,每加一次都应振摇混匀。控制瓶内温度在55℃-60℃之间,充分反应0.5h。

③ 向②反应后的圆底烧瓶内加入少量水,

并接入右图所示装置中,将T形管的活

塞K打开,甲瓶中有适量水,加热甲,

至有大量水蒸气冲出时关闭K,同时接

通冷凝水。

④ 将步骤③锥形瓶中收集到的液体分液,水层用乙醚(乙醚沸点34.6℃,易燃烧,当空气中含量为1.83~48.0%时易发生爆炸)萃取,萃取液并入有机层。再向有机层中加入无水硫酸钠静置后转入干燥的圆底烧瓶中,进行蒸馏,除去乙醚后收集151℃-155℃馏分。

根据以上步骤回答下列问题:

⑴步骤①所得溶液分三次加入环己醇的原因是_____________________________。

⑵步骤③利用图示装置进行实验的目的是_________________,实验过程中要经常检

查甲中玻管内的水位。若玻管内的水位升高过多,其可能原因是________,此时应

立即采取的措施是_________________________。

⑶步骤④中加入无水硫酸钠的作用是_________,蒸馏除乙醚的过程中采用的加热方

式为____________________。

⑷写出该实验中可能发生的一个副反应的化学方程式_______________________。

试题详情

14.α-鸢尾酮香料的分子结构如右图,下列说法正确的是

A.α-鸢尾酮的化学式为C14H24O

B.1molα-鸢尾酮最多可与3molH2加成

C.α-鸢尾酮能发生银镜反应

D.α-鸢尾酮既能发生氧化反应又能发生还原反应

第Ⅱ卷(非选择题 共72分)

试题详情

13.下列说法正确的是

A.天然橡胶和杜仲胶

属于同分异构体

B.属于同系物

C.合成的单体为乙烯和2-丁烯

D.是由苯酚和甲醛发生加成反应后的产物脱水缩合而成

试题详情

12.已知下列反应的热化学方程式:

⑴C(s)+O2(g)=CO2(g)   ΔH 1=-393.5kJ/mol 

⑵CH3COOH(l)+2O2(g)=2CO2(g)+2H2O(l)  ΔH 2=-870.3kJ/mol

⑶H2(g)+O2(g)=H2O(l)  ΔH 3=-285.8kJ/mol 

则2C(s)+2H2(g)+O2(g)=CH3COOH(l) 的反应热(焓变)为

A.-488.3 kJ/mol   B.+488.3 kJ/mol   C.-244.15 kJ/mol   D.+244.15 kJ/mol

试题详情


同步练习册答案