题目列表(包括答案和解析)

 0  28832  28840  28846  28850  28856  28858  28862  28868  28870  28876  28882  28886  28888  28892  28898  28900  28906  28910  28912  28916  28918  28922  28924  28926  28927  28928  28930  28931  28932  28934  28936  28940  28942  28946  28948  28952  28958  28960  28966  28970  28972  28976  28982  28988  28990  28996  29000  29002  29008  29012  29018  29026  447348 

5.    胡椒酚是植物挥发油中的一种成分。关于胡椒酚的下列说法:①该化合物属于芳香烃;②分子中至少有7个碳原子处于同一平面;③它的部分同分异构体能发生银镜反应;④1mol该化合物最多可与2mol Br2发生反应。其中正确的是

A  ①③   B  ①②④   C  ②③   D  ②③④

试题详情

4. 利尿酸在奥运会上被禁用,其结构简式如图所示. 下列叙述正确的是

A.利尿酸衍生物利尿酸甲脂的分子式是C14H14Cl2O4

B.利尿酸分子内处于同一平面的原子不超过10个

C.1 mol利尿酸能与7 mol H2发生加成反应

D.利尿酸能与FeCl3溶液发生显色反应

试题详情

3.(09浙江卷11)一种从植物中提取的天然化合物a-damascone,可用于制作“香水”,其结构为:

,有关该化合物的下列说法不正确的是

A.分子式为

B.  该化合物可发生聚合反应

C.1mol该化合物完全燃烧消耗19mol

D.与溴的溶液反应生成的产物经水解、稀硝酸化后可用溶液检验

试题详情

2.(09江苏卷10) 具有显著抗癌活性的10-羟基喜树碱的结构如图所示。下列关于10-羟基喜树碱的说法正确的是

    A.分子式为

    B.不能与溶液发生显色反应

    C.不能发生酯化反应

    D. 一定条件下,1mol该物质最多可与1mol反应

试题详情

1.(09安徽卷8)北京奥运会期间对大量盆栽鲜花施用了S-诱抗素制剂,以保证鲜花盛开,S-诱抗素的分子结构如图,下列关于该分子说法正确的是

A.含有碳碳双键、羟基、羰基、羧基

B.含有苯环、羟基、羰基、羧基

C.含有羟基、羰基、羧基、酯基

D.含有碳碳双键、苯环、羟基、羰基

试题详情

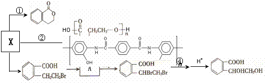
12.(12分)(江苏省苏北四市2009届高三下学期第三次调研考试(化学))乙基香兰素是当今世界上最重要的合成香料之一,其结构简式如下图所示。

(1)以下推测正确的是     (填字母)。

  a.从分子结构上看,它应该属于芳香烃

  b.该物质的一个分子内含有一个碳氧双键、三个碳碳双键

  c.1 mol该物质最多能与4molH2发生加成反应

  d.该物质能与碳酸钠溶液反应产生CO2气体

 (2) R物质属于乙基香兰素的同分异构体,其性质如下:

试写出符合条件的R的同分异构体的结构简式(任写两种) :           。(3)X也是乙基香兰素的同分异构体,可以通过不同的反应制得下列物质。

 

请回答下列问题:

(Ⅰ)反应①、②的反应类型              

(Ⅱ)反应③所需的试剂是       ;A的结构简式        ;

(Ⅲ)反应④的化学方程式         

试题详情

11.(8分)(2009年涡阳四中高三有机化学测试卷)绿色有机合成是指采用无毒、无害的原料、催化剂和溶剂,选择具有高选择性、高转化率,不生产或少生产对环境有害的副产品合成。下列是BHC公司新发明的布洛芬(Ibuprofen)绿色合成方法。

   

试回答下列问题:

(1)反应③属于羰基合成,反应①、②分别所属的有机反应类型是:        

(2)反应①的化学方程式为:                         

(3)不能与布洛芬发生反应的物质是     (填字母)

    A、CH3CH2OH   B、金属钠  C、溴水   D、H2

(4)与布洛芬互为同分异构体的芳香族化合物中,其结构可表示为的酯类,X的结构有:       种(填数字)。

(5)某学生提议用Reppe反应一步合成布洛芬,并使原子利用率100%,已知:RCH=CH2+CO+H2O  RCH(CH3)COOH,请一种有机原料合成布洛芬:  ____   

试题详情

10.(16分)(2009年涡阳四中高三有机化学测试卷)近年来,国际原油价格大幅上涨,促使各国政府加大生物能源生产,其中酒精汽油已进入实用化阶段。

(1)柴油是含C15~C18的碳氢化合物的混合物,这些碳氢化合物属于有机物中的____类。

(2)乙醇在铜或银作催化剂的条件下,可以被空气中的氧气氧化成X,X的结构简式

是_________________。

(3)乙醇可以与酸性重铬酸钾溶液反应,被直接氧化成Y,Y 含有官能团的名称是_________。在浓硫酸作用下,乙-丙醇与Y反应可生成一种有香味的物质W,化学方程式为___________________________________________________________ 。   

(4)现有两瓶无色液体,分别盛有Y、W,只用一种试剂就可以鉴别,该试剂可以是__________     或_________            __       __。

(5)工业上通过乙烯与水在一定条件下反应制得乙醇,反应类型是______________;现代石油化工采用银作催化剂,乙烯能被氧气氧化生成环氧乙烷      ,该反应的原子利用率为100%,反应的化学方程式为_________                  

                                      

试题详情

9.(09江苏卷19)(14分)多沙唑嗪盐酸盐是一种用于治疗高血压的药物。多沙唑嗪的合成路线如下:

(1)写出D中两种含氧官能团的名称:     和     。

(2)写出满足下列条件的D的一种同分异构体的结构简式         。

    ①苯的衍生物,且苯环上的一取代产物只有两种;②与Na2CO3溶液反应放出气体;

    ③水解后的产物才能与FeCl3 溶液发生显色反应。

(3)E→F的反应中还可能生成一种有机副产物,该副产物的结构简式为      。

(4)由F制备多沙唑嗪的反应中要加入试剂X(C10H10N3O2Cl),X的结构简式为    。

 (5)苯乙酸乙酯是一种常见的合成香料。请设计合理的方案以苯甲醛和乙醇为原料合成

    苯乙酸乙酯(用合成路线流程图表示,并注明反应条件)。

    提示:①R-Br+Na→R-CN+NaBr ;②合成过程中无机试剂任选;

    ③合成路线流程图示例如下:

CH3CH2OH H2C=CH2       BrH2C-CH2Br 

试题详情

8.(09全国卷Ⅰ30)(15分)

化合物H是一种香料,存在于金橘中,可用如下路线合成:

 

已知:

回答下列问题:

(1)11.2L(标准状况)的烃A在氧气中充分燃烧可以产生88 g CO2和45 g H­O。

A的分子式是________________

(2)B和C均为一氯代烃,它们的名称(系统命名)分别为___________________________________________________;

(3)在催化剂存在下1 mol F与2 mol H­2反应,生成3-苯基-1-丙醇。F的结构简式是_____________

(4)反应①的反应类型是__________________;

(5)反应②的化学方程式为__________________________

(6)写出所有与G具有相同官能团的G的芳香类同分异构体的结构简式:

__________________________________

试题详情


同步练习册答案