题目列表(包括答案和解析)

 0  30162  30170  30176  30180  30186  30188  30192  30198  30200  30206  30212  30216  30218  30222  30228  30230  30236  30240  30242  30246  30248  30252  30254  30256  30257  30258  30260  30261  30262  30264  30266  30270  30272  30276  30278  30282  30288  30290  30296  30300  30302  30306  30312  30318  30320  30326  30330  30332  30338  30342  30348  30356  447348 

22、(8分)解:

2009-2010学年第二学期会昌中学第一次月考试题答案及评分标准

                高二化学

(4)

CH3CH2CHO+2Cu(OH)2     CH3CH2COOH+ Cu2O↓+H2O

试题详情

21、(12分)(1)                  

                               

(2)                

                               

                                 。(3)                    。       

试题详情

20、(10分)(1)          。 

(2)                             

(3)                    

(4)                             

试题详情

19、(12分)(1)___________________         __________。

 (2)       

(3)                            

(4)                             

试题详情

18、(7分)(1)             ;              

(2)                      

试题详情

17、(3分)

                    

试题详情

22.(8分)由碳、氢、氧三种元素组成的某有机物,分子中共含有10个原子,其核外共有32个电子,1mol该有机物在氧气中完全燃烧时需要4molO2,回答:

(1)若该有机物可使溴水褪色,但不发生银镜反应,取0.2mol该有机物与足量钠反应,能产生2.24L H2 (标况),且羟基连在双键碳上的有机物极不稳定,则该有机物的结构简式可能是什么?

(2)若该有机物能发生银镜反应,则其结构简式是什么?写出它与氢气、银氨溶液和新制的氢氧化铜发生反应的化学方程式。

会昌中学2009-2010学年第二学期第一次月考答题卷

高二化学

试题详情

21.(12分)某课外小组设计的实验室制取乙酸乙酯的装置如图14-2所示,A中放有浓硫酸,B中放有乙醇、无水醋酸钠,D中放有饱和碳酸钠溶液。

已知①无水氯化钙可与乙醇形成难溶于水的CaCl2·6 C2H50H

 ②有关有机物的沸点:

试剂
乙醚
乙醇
乙酸
乙酸乙酯
沸点/℃
34.7
78.5
118
77.1

请回答:

  (1)浓硫酸的作用是          ;若用同位素180示踪法确定反应产物水分子中氧原子的提供者,写出能表示180位置的化学方程式:

                                   

  (2)球形干燥管C的作用是             。若反应前向D中加入几滴酚酞,溶液呈红色,产生此现象的原因是(用离子方程式表示)            ;反应结束后D中的现象是             。

  (3)从D中分离出的乙酸乙酯中常含有一定量的乙醇、乙醚和水,应先加入无水氯化钙,分离出      ;再加入(此空从下列选项中选择)     ,然后进行蒸馏,收集77℃左右的馏分,以得较纯净的乙酸乙酯。

    A.五氧化二磷   B.碱石灰   C.无水硫酸钠   D.生石灰

试题详情

20.(10分)工业上用甲苯生产对-羟基苯甲酸乙酯  (一种常见的化妆品防霉剂),其生产过程如下图(反应条件没有全部注明):

根据上述合成路线回答:

⑴ 有机物A的结构简式____________________。

⑵ 反应⑤的化学方程式(有机物写结构简式,要注明反应条件):        

_______________________________________________________________。

⑶ 反应②的反应类型是___    __,反应④的反应类型是__       ___。

⑷ 反应③的化学方程式______________________________________。

⑸ 在合成线路中,设计第③和第⑥这两步反应的目的是____________________                            

试题详情

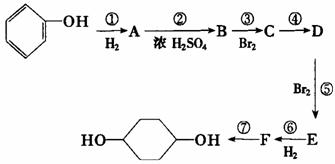
19.(12分)已知:(X代表卤素原子,R代表烃基)

利用上述信息,按以下步骤从合成。(部分试剂和反应条件已略去)

请回答下列问题:

(1)分别写出B、D的结构简式:B____      、D_  ____        __。

(2)反应①-⑦中属于消去反应的是____    _____。(填数字代号)

(3)如果不考虑⑥、⑦反应,对于反应⑤,得到的E可能的结构简式为:

_                                 

(4)试写出CD反应的化学方程式(有机物写结构简式,并注明反应条件): ___________________________________________。

试题详情


同步练习册答案