题目列表(包括答案和解析)

 0  30124  30132  30138  30142  30148  30150  30154  30160  30162  30168  30174  30178  30180  30184  30190  30192  30198  30202  30204  30208  30210  30214  30216  30218  30219  30220  30222  30223  30224  30226  30228  30232  30234  30238  30240  30244  30250  30252  30258  30262  30264  30268  30274  30280  30282  30288  30292  30294  30300  30304  30310  30318  447348 

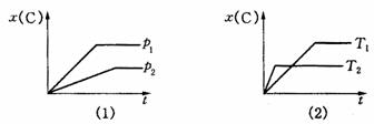
15.下图表示可逆反应mA(g)+nB(g)  pC(g)在不同温度(T)、压强(P)下,生成物C的物质的量分数x(C)的变化情况。下列关于该正反应热效应及方程式中A、B、C的化学计量数的判断中,正确的是(  )

  A.吸热反应,m+n<p

   B.吸热反应,m+n>p

   C.放热反应,m+n<p

   D.放热反应,m+n>p

试题详情

14.已知在1×105 Pa,298K条件下,2 mol氢气燃烧生成水蒸气放出484 kJ热量,下列热化学方程式正确的是(  )

A.   H2O(g)=H2(g)+O2(g)    △H = +242 kJ·mol-1

B.2H2(g)+O2(g)=2H2O(l)    △H = -484 kJ·mol-1

C.H2(g) +O2(g) = H2O(g)   △H = +242 kJ·mol-1

D.2H2(g)+O2(g)=2H2O(g)    △H = +484 kJ·mol-1

试题详情

13.在容积不变的密闭容器中存在如下反应:2SO2(g)+O2(g)2SO3(g)  △H<0,某研究小组研究了其他条件不变时,改变某一条件对上述反应的影响,下列分析正确的是(  )

Ⅰ            Ⅱ             Ⅲ

   A.图I研究的是t0时刻增大O2的浓度对反应速率的影响

   B.图II研究的是t0时刻加入催化剂后对反应速率的影响

   C.图III研究的是催化剂对平衡的影响,且甲的催化效率比乙高

   D.图III研究的是温度对化学平衡的影响,且甲的温度较高

试题详情

12.铜板上铁铆钉处的吸氧腐蚀原理如右下图所示,下列有关说法中,不正确的是(  )

A.正极电极反应式为:2H++2e- = H2

B.过程中还涉及到反应:4Fe(OH)2+2H2O+O2=4Fe(OH)3

C.此过程中铜并不被腐蚀 

D.此过程中电子从Fe移向Cu

试题详情

11.已知热化学方程式:

   H2O(g)=H2(g) + O2(g)    △H = +241.8 kJ·mol-1

H2(g)+ O2(g) = H2O(1)    △H = -285.8 kJ·mol-1

   当1g液态水变为水蒸气时,其热量变化是(   )

   A.吸热88kJ    B.吸热2.44kJ    C.放热44kJ     D.吸热44kJ

试题详情

10.化学用语是学习化学的重要工具,下列用来表示物质变化的化学用语中,正确的是(  )

A.钢铁发生电化腐蚀的正极反应式:Fe-2e= Fe2+

B.氢氧燃料电池的负极反应式:O2 + 2H2O + 4e= 4OH

C.粗铜精炼时,与电源正极相连的是纯铜,电极反应式为:Cu-2e= Cu2+

D.电解饱和食盐水时,阳极的电极反应式为:2Cl-2e= Cl2

试题详情

9.下列关于热化学反应的描述中正确的是(   )   A.HCl和NaOH反应的中和热△H=-57.3 kJ/mol,则H2SO4和Ca(OH)2反应的中和热

H=2×(-57.3) kJ/mol   B.CO(g)的燃烧热是283.0 kJ/mol,则2CO2(g) = 2CO(g) + O2(g)反应的△H=2×283.0 kJ/mol

C.需要加热才能发生的反应一定是吸热反应   D.1mol甲烷燃烧生成气态水和二氧化碳所放出的热量是甲烷的燃烧热

试题详情

8.下列事实,不能用勒夏特列原理解释的是(  )

A.氯水中有平衡:Cl2+ H2O  HCl+ HClO,当加入 AgNO3溶液后,溶液颜色变浅

B.温度过高对合成氨不利

C.增大压强,有利于SO2与O2反应生成SO3

D.使用催化剂,提高合成氨的速率

试题详情

7.当化学反应的△H<0,△S>0时,反应一定能自发进行。下列反应属于该情况的是(  )

   A.2H2(g)+O2(g) = 2H2O(l)

  B.Zn(s)+2HCl(aq) = ZnCl2(aq)+H2(g)

  C.CaCO3(s)=CaO(s)+CO2 (g)

  D.2NH4Cl(s) + Ba(OH)2•8H2O(s) = 2NH3(g) + BaCl2 (s) + 10H2O(l)

试题详情

6.反应:A(g)+3B(g)  2C(g)  △H<0。达平衡后,将气体混合物的温度降低,下列叙述中正确的是(   )

A.正反应速率加大,逆反应速率变小,平衡向正反应方向移动

B.正反应速率变小,逆反应速率加大,平衡向逆反应方向移动

C.正反应速率和逆反应速率变小,平衡向正反应方向移动

D.正反应速率和逆反应速率变小,平衡向逆反应方向移动

试题详情


同步练习册答案