题目列表(包括答案和解析)

 0  35396  35404  35410  35414  35420  35422  35426  35432  35434  35440  35446  35450  35452  35456  35462  35464  35470  35474  35476  35480  35482  35486  35488  35490  35491  35492  35494  35495  35496  35498  35500  35504  35506  35510  35512  35516  35522  35524  35530  35534  35536  35540  35546  35552  35554  35560  35564  35566  35572  35576  35582  35590  447348 

21.(9分)(1) 0.02 mol/L的HCN溶液与0.02 mol/L NaCN溶液等体积混合,已知该混合溶液中C(Na+)>C(CN),用(“>、<或=”符号填空):

  ①溶液中C(OH)__C(H+)     ②C(HCN)__C(CN)

  ③C(HCN)+C(CN)____0.02 mol/L

  (2)①向明矾溶液中逐滴滴人氢氧化钡溶液至硫酸根离子刚好沉淀完全时,溶液的pH __7      (填“<”、“>”或“=”),离子反应总方程式为:

____________________________

  ②向明矾溶液中逐滴加氢氧化钡溶液至铝离子刚好沉淀完全时,溶液的pH _____7(填    “<”、“>”或“=”),离子反应总方程式为:

_______________

(3)现有一反应:CO(g)+H2O(g)CO2(g)+H2(g)+  热量,在850℃时,K=,K为平衡常数,其数值只随温度变化,与其它条件无关。

 ①若升温到950℃,达到平衡是,K_______1。(填“<”、“>”或“=”)。

 ②850℃时,固定容积的密闭容器中,放人混合物,起始浓度:C(CO)=0.01 mol/L, C(H2O)=0.03mol/L,C(CO2)=0.01mol/L,C(H2)=0.05mol/L,则反应开始时,H2O的消耗速率比生成速率______(填“大”、“小”或“不能确定”)。

试题详情

20.(12分)1, 2一二溴乙烷可作汽油抗爆剂的添加剂,常温下它是无色液体,密度2.18·cm1,沸点131.4℃,熔点9.79℃,不溶于水,易溶于醇、醚、丙酮等有机溶剂。在实验室中可以用下图所示装置制备1,2一二滨乙烷。其中分液漏斗和烧瓶a中装有乙醇和浓硫酸的混合液,试管d中装有液溴(表面覆盖少量水)。填写下列空白:

(1)写出本题中制备1, 2一二溴乙烷有关的两个化学反应方程式:

(2)安全瓶b可以防止倒吸,并可以检查实验进行时试管d是否发生堵塞。请写出发生堵塞时瓶b中的现象_________。

(3)容器c中NaOH溶液的作用是___________。

(4)某学生在做此实验时,使用一定量的液溴,当溴全部褪色时,所消耗乙醇和浓硫酸混合液的量,比正常情况下超过许多。如果装置的气密性没有问题,试分析其可能的原因。

_____________________________。

试题详情

19.(7分)有一瓶NaNO3溶液,混人少量的Ca(H2PO4)2和NaBr,请设计一个实验方案,除去NaNO3溶液中混人的杂质。供选用的试剂:①稀盐酸②稀硝酸③稀硫酸④NaOH溶液⑤KOH溶液⑥Na2CO3溶液⑦AgNO3溶液⑧K2CO3溶液

要求:选用试剂不超过四种,同种试剂不得重复使用。

(1)请在下列操作顺序的括号内填人所加物质的化学式:

   (2)在加人某试剂除去NaN03溶液中的Br-,如何检验Br已经沉淀完全?

试题详情

18.标准状况下,向3 mol·L-1的NaOH溶液100ML中缓慢通人4.48 LCO2气体,充分反应后溶液中离子浓度C大小排列顺序正确的是:

A.  C(Na+)>C(CO32)>C(HCO3)>C(OH)>C(H+)

B.  

B. 

B.C(Na+)>C(CO32)=C(HCO3)>C(OH)>C(H+)

C.C(Na+)>C(HCO3)>C(OH)>C(CO32)>C(H+)

D.C(Na+)>C(HCO3)>C(CO32)>C(OH)>C(H+)

第Ⅱ卷   (非选择题:共78分)

试题详情

17.克隆生命体的关键技术之一是找到一些特殊的酶,它们能激活普通体细胞使之象生殖细胞一样发育成个体,下列有关酶的说法错误的是:

A..酶是具有催化作用的蛋白质      B.酶催化作用的特点是具有专一性和选择性

C.高温或重金属盐能使酶的活性暂时丧失 D.酶只有在强酸或强碱的条件下才能发挥作用

试题详情

16.两种有机物以一定比例混合,一定条件下在a L02(足量)中燃烧,充分反应后,再通过足量Na2O2层,恢复到原状态气体体积仍是a L,下列混合有机物中可能符合此条件的是:

A.CH4 C2H4

   B.CH3CH2OH CH3COOH  C.C2H6  HCHO  D,HCOOH CH3COOCH3

试题详情

15.2一氨基一5一硝基苯甲醚俗称红色基B,主要用于棉纤维织物的染色,也用于制金黄、枣红、黑色等有机颜料,其结构简式如图所示。若分子式与红色基B相同,且氨基(一NH2)与硝基(一NO2)直接连在苯环上并呈对位时的同分异构体数目(包括红色基B)可能为:

A.2种   B.4种   C.6种   D.10种

试题详情

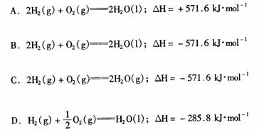
14. 0.01 kg氢气完全燃烧生成液态水要放出1429 kJ的热量,则以下热化学方程式的表示正确的是:

  

试题详情

13.氯化铯晶胞(晶体中重复的结构单元)如图(1)所示,该晶体中Cs+与 Cl的个数比为1:1,化学式为CsCl.若某晶体晶胞结构简式如图(2),其中含有A、B、C三种元素的微粒,则该晶体中A、B、C的微粒个数比为:

A.8:6:1   B.4:3:1   C.1:6:1   D.1:3:1

试题详情

12.向下列溶液中投人镁粉,镁粉溶解且放出气泡的是:

A.K2SO4   B.NH4Cl  C.NaHSO4  D.NaHCO3

试题详情


同步练习册答案